Главная Случайная страница


Полезное:

Как сделать разговор полезным и приятным Как сделать объемную звезду своими руками Как сделать то, что делать не хочется? Как сделать погремушку Как сделать так чтобы женщины сами знакомились с вами Как сделать идею коммерческой Как сделать хорошую растяжку ног? Как сделать наш разум здоровым? Как сделать, чтобы люди обманывали меньше Вопрос 4. Как сделать так, чтобы вас уважали и ценили? Как сделать лучше себе и другим людям Как сделать свидание интересным?


Категории:

АрхитектураАстрономияБиологияГеографияГеологияИнформатикаИскусствоИсторияКулинарияКультураМаркетингМатематикаМедицинаМенеджментОхрана трудаПравоПроизводствоПсихологияРелигияСоциологияСпортТехникаФизикаФилософияХимияЭкологияЭкономикаЭлектроника






Выпрямителей





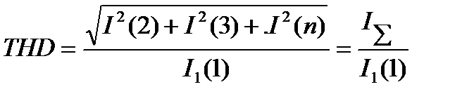
Управляемый выпрямитель отрицательно влияет на питающую сеть переменного тока. Во первых, он потребляет из сети несинусоидальный ток. Во-вторых, он сдвигает фазу потребляемого тока относительно питающего напряжения. Несинусоидальность тока может быть охарактеризована коэффициентом гармоник (THD- Total Harmonic Distorsion)

 

,

 

где …. -эффективные значения тока первой и.т.д. гармоник, - эффективный ток всех высших гармоник.

Фазовый сдвиг зависит от угла управления управляемым выпрямителем.

Первую гармонику тока можно разложить на активную и реактивную составляющие. Если принять, что напряжение сети синусоидально, тогда отдельные составляющие мощности для трехфазных схем определятся следующими выражениями:

- полная мощность, потребляемая из сети ;

- полная мощность по первой гармонике ;

- активная мощность по первой гармонике ;

- реактивная мощность по первой гармонике ;

- мощность искажений .

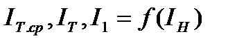
Зависимости полной и активной мощности в источнике питания, а так же мощности в нагрузке от среднего тока нагрузки () называют энергетическими характеристиками выпрямителя.

Зависимости среднего и эффективного тока тиристора, а так же тока в источнике от среднего тока нагрузки () называют электромагнитными характеристиками выпрямителя.

Все перечисленные характеристики являются функцией среднего тока нагрузки управляемого выпрямителя, который в общем случае определяется выражением

Прерывистые токи в управляемом выпрямителе.

При значительной противо эдс в нагрузке, когда ток нагрузки достаточно мал, в управляемом выпрямителе наступает режим прерывистых токов. В этом режиме очередной тиристор в схеме (рис.1.3) (или очередная пара тиристоров в мостовой схеме, рис.1.10.) вследствие спада тока до нуля закрывается раньше, чем открывается очередной тиристор. Электромагнитные процессы для такого режима работы показаны на рис.1.21.

В паузе протекания тока через тиристоры напряжение на нагрузки определяется противо эдс. В режиме прерывистых токов отсутствуют явления коммутации, а выходное напряжение управляемого выпрямителя можно определить по приближенной формуле

 

Внешние характеристики в режиме прерывистого тока являются нелинейными.

Рис.1.21. Электромагнитные процесс УВ в режиме прерывистых токов.

Следует подчеркнуть, что область прерывистых токов обычно очень узкая, что часто достигается включением дополнительной индуктивности на выходе управляемого выпрямителя. Поэтому наличие этой области и, связанной с ней, нелинейности не оказывает заметного влияния на свойства системы регулирования с управляемым выпрямителем.







Date: 2015-09-22; view: 1504; Нарушение авторских прав



mydocx.ru - 2015-2026 year. (0.486 sec.) Все материалы представленные на сайте исключительно с целью ознакомления читателями и не преследуют коммерческих целей или нарушение авторских прав - Пожаловаться на публикацию