Главная Случайная страница


Полезное:

Как сделать разговор полезным и приятным Как сделать объемную звезду своими руками Как сделать то, что делать не хочется? Как сделать погремушку Как сделать так чтобы женщины сами знакомились с вами Как сделать идею коммерческой Как сделать хорошую растяжку ног? Как сделать наш разум здоровым? Как сделать, чтобы люди обманывали меньше Вопрос 4. Как сделать так, чтобы вас уважали и ценили? Как сделать лучше себе и другим людям Как сделать свидание интересным?


Категории:

АрхитектураАстрономияБиологияГеографияГеологияИнформатикаИскусствоИсторияКулинарияКультураМаркетингМатематикаМедицинаМенеджментОхрана трудаПравоПроизводствоПсихологияРелигияСоциологияСпортТехникаФизикаФилософияХимияЭкологияЭкономикаЭлектроника






Схема трехфазного мостового выпрямителя





Схема трехфазного мостового выпрямителя (рис.1.16.) содержит выпрямительный мост из шести вентилей. В нижней группе вентили соединены катодами (катодная группа), а в верхней – анодами (анодная группа). Нагрузка подключена между точками соединения катодов и анодов вентилей. Схема допускает соединение как первичных, так и вторичных обмоток трансформатора звездой или треугольником. Она может применяться без трансформатора.

Анализ схемы проводится при активно-индуктивной нагрузке, наиболее распространенной на практике. Индуктивность рассеяния обмоток трансформатора и индуктивность сети принимаем равной нулю. Рассмотрение проводим с использованием временных диаграмм, приведенных на рис.2.16..

В схеме с нулевым выводом ток создается под действием фазного напряжения вторичной обмотки трансформатора, а в мостовой схеме – под действием линейного напряжения. Ток нагрузки протекает через два вентиля, один из которых расположен в катодной группе, а второй – в анодной. Контур протекания тока при открытых вентилях 1 и 6 показан на схеме 1.16.

Из катодной группы в открытом состоянии будет находиться тот из вентилей, напряжение анода которого имеет положительную полярность относительно нулевого вывода (фазное напряжение) и наибольшее по сравнению с остальными вентилями. Из анодной группы открытое состояние принимает тот вентиль, напряжение катода которого в данный момент является наибольшим и имеет отрицательную полярность

Иными словами, в проводящем состоянии будет находиться те два накрест лежащих вентиля выпрямительного моста, между которыми действует в проводящем направлении наибольшее линейное напряжение. Какие пары вентилей, и в какие периоды времени работают, показано на рис.Таким образом, интервал проводимости каждого вентиля составляет2π/3, аинтервал совместной работы двух вентилей составляет π/3. За период напряжения питания происходит шесть переключений вентилей. Схема работает в шесть тактов, в связи, с чем ее часто называют шестипульсной.

Рис. 1.16. Мостовой выпрямитель и его временные диаграммы.

.

Кривая выпрямленного напряжения определяется по кривым изменения потенциалов выводов нагрузки φd(-) и φd(+) относительно нулевого вывода вторичных обмоток трансформатора. Кривая изменения потенциала φd(+) формируется из участков фазных напряжений положительной полярности при проводимости вентилей катодной группы, а кривая φd(-) - из участков фазных напряжений отрицательной полярности при проводимости вентилей анодной группы. Разность указанных потенциалов определяет напряжение нагрузки Ud. Кривая Ud. состоит из участков линейных напряжений вторичных обмоток трансформатора.

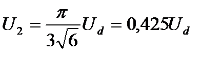
Среднее значение выпрямленного напряжения находим по среднему значению напряжения u d период повторяемости π/3.

Напряжение на нагрузке по сравнению с трехфазной нулевой схемой с нулевым выводом получается в два раза больше. Это объясняется тем, что мостовая трехфазная схема представляет собой как бы две трехфазных нулевых схемы, выходы которых включены последовательно.. При заданном напряжении требуется вдвое меньшее напряжение вторичной обмотки трансформатора.

что сокращает число витков вторичной обмотки трансформатора и снижает требования к изоляции.

Поскольку период повторяемости Ud равен 2π/6, трехфазная мостовая схема эквивалентна шестифазной в отношении коэффициента пульсации и частоты ее первой гармоники. Коэффициент пульсации по первой гармонике находим при m=6, откуда следует, что амплитуда первой гармоники составляет 5,7% по сравнении с 25% в трехфазной нулевой схеме. Частота первой гармоники пульсации шестикратна частоте питающей сети и равна 300 Гц.







Date: 2015-09-22; view: 805; Нарушение авторских прав



mydocx.ru - 2015-2026 year. (0.246 sec.) Все материалы представленные на сайте исключительно с целью ознакомления читателями и не преследуют коммерческих целей или нарушение авторских прав - Пожаловаться на публикацию