Главная Случайная страница


Полезное:

Как сделать разговор полезным и приятным Как сделать объемную звезду своими руками Как сделать то, что делать не хочется? Как сделать погремушку Как сделать так чтобы женщины сами знакомились с вами Как сделать идею коммерческой Как сделать хорошую растяжку ног? Как сделать наш разум здоровым? Как сделать, чтобы люди обманывали меньше Вопрос 4. Как сделать так, чтобы вас уважали и ценили? Как сделать лучше себе и другим людям Как сделать свидание интересным?


Категории:

АрхитектураАстрономияБиологияГеографияГеологияИнформатикаИскусствоИсторияКулинарияКультураМаркетингМатематикаМедицинаМенеджментОхрана трудаПравоПроизводствоПсихологияРелигияСоциологияСпортТехникаФизикаФилософияХимияЭкологияЭкономикаЭлектроника






Схема трехфазного выпрямителя с нулевым выводом





В схему трехфазного выпрямителя с нулевым выводом входит трансформатор с вторичными обмотками, соединенными звездой или треугольником. Выводы вторичных обмоток связаны с анодами трех вентилей. Нагрузка подключена к общей точке соединения катодов вентилей и вторичной обмотки трансформатора (мал.8.12). Индуктивность рассеяния вторичных обмоток трансформатора и индуктивность питающей сети принимаем равной нулю.

В силу того, что нагрузка подключена к нулевому выводу вторичных обмоток трансформатора и общей точке соединения катодов вентилей, последние проводят ток только при положительной полярности напряжения.

При чем, в открытом состоянии находится вентиль, для которого фазное напряжение выше, чем у других вентилей. Каждый из непроводящих вентилей будет заперт обратным напряжением, равным разности напряжений его фазы и фазы проводящего вентиля.

 

 

 

Рис.1.15. Схема трехфазного выпрямителя с нулевым выводом и его временные

диаграммы.

 

 

Среднее выпрямленное напряжение находится

 

где U2 -действующее значение фазного напряжения на вторичной обмотке трансформатора

Преимущество трехфазной схемы относительно однофазной видно из расчете коэффициентов, определяющих возможности схемы. Коэффициент, связывающий напряжения U2 и Ud получается значительно больше, чем в однофазной схеме. Коэффициент пульсации по первой гармонике составляет 25%. Первая гармоника имеет частоту пульсации 150 гц.

Средний ток каждого вентиля будет составлять одну треть от среднего значения тока нагрузки.

Кривая обратного напряжения находится как разность между потенциалами анода и катода. Изменение потенциала анода вентиля 1 определяется фазным напряжением ua, а катода – фазным напряжением ub при проводящем вентиле 2 или фазным напряжением uc при проводящем вентиле 3.

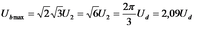
В связи, с чем необходимое для выбора вентиля максимальное обратное напряжение равно амплитуде линейного вторичного напряжения

 

Токи вторичных обмоток трансформатора, определяются соответствующими токами вентилей. Кривые анодного тока содержат постоянную составляющую, равную Id/3, которая протекает и через вторичные обмотки трансформатора, создавая в каждом из трех стержней магнитопровода однонаправленный поток вынужденного подмагничивания трансформатора. Это явление весьма нежелательно, поскольку оно может привести к насыщению магнитопровода. Существует несколько способов избежать этого. Лучшие результаты дает применение трехфазной мостовой схемы.

 







Date: 2015-09-22; view: 1894; Нарушение авторских прав



mydocx.ru - 2015-2026 year. (1.001 sec.) Все материалы представленные на сайте исключительно с целью ознакомления читателями и не преследуют коммерческих целей или нарушение авторских прав - Пожаловаться на публикацию