Главная Случайная страница


Полезное:

Как сделать разговор полезным и приятным Как сделать объемную звезду своими руками Как сделать то, что делать не хочется? Как сделать погремушку Как сделать так чтобы женщины сами знакомились с вами Как сделать идею коммерческой Как сделать хорошую растяжку ног? Как сделать наш разум здоровым? Как сделать, чтобы люди обманывали меньше Вопрос 4. Как сделать так, чтобы вас уважали и ценили? Как сделать лучше себе и другим людям Как сделать свидание интересным?


Категории:

АрхитектураАстрономияБиологияГеографияГеологияИнформатикаИскусствоИсторияКулинарияКультураМаркетингМатематикаМедицинаМенеджментОхрана трудаПравоПроизводствоПсихологияРелигияСоциологияСпортТехникаФизикаФилософияХимияЭкологияЭкономикаЭлектроника






Пример задачи линейного математического программирования





Задача о рационе питания (задача о диете)

Задача о смесях появляется при составлении рациона питания животных, удовлетворяющего конкретным медицинским требованиям так, чтобы затраты на «меню» были сведены к минимуму [13].

Допустим, что у нас в наличии есть продуктов питания (зерно, комбикорм, сено и др.). Обозначим данные продукты с помощью . Пусть, – это стоимость единицы веса (например, цена килограмма) продукта Fi. Правильная диета обязана приносить животному пользу, то есть обеспечивать его необходимыми элементами, такими как белки, углеводы, кальций, калий, магний, фосфор и др. Обозначим данные элементы через . Тогда можно составить таблицу 1 указывающую, на то, какой объем каждого элемента имеется в единице веса любого продукта.

Таблица 1 – Содержание нужных веществ в каждом виде продукта

 

 

Получается, что величина aij это количество i-го элемента, присутствующего в единице веса j-го продукта. Матрица называется матрицей питательности.

Вектор решения для рациона питания должен показать, какое количество xi i-го продукта должно содержаться в меню«исследуемого» животного за день (месяц, квартал, год). Он означает, что за определенный промежуток времени животное должно быть обеспеченоx1единиц первого продукта, x2 единиц второго, …, xn единиц n-го продукта.

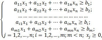
Какие же требования могут быть предъявлены к рациону? Выполнение конкретных медицинских требований. Они состоят в том, что за определенный срок животное должно получить не менее необходимого количества каждого элемента. Обозначим через bj, то минимально необходимое количество j-го элемента, которое должно получить животное. В таком случае, рацион питания должен соответствовать полученным ограничениям (2.1).

(2.1)

Тогда стоимость всей диеты будет составлять:

(2.2)

где – цена единицы веса i-го продукта.

Очевидно, что затраты должны быть как можно меньше. Поэтому задача приобретает такой вид: найти рацион (2.2) минимальной стоимости при выполнении всех ограничений (2.1). Математически это выглядит так:

(2.3)

Таким образом, очевидно что:

- реальная задача приобрела строгую математическую форму;

- функция цели (стоимость питания) является линейной функцией;

- ограничения на значения переменных x1, x2, …, xn имеют вид системы линейных неравенств.







Date: 2015-09-23; view: 558; Нарушение авторских прав



mydocx.ru - 2015-2026 year. (0.586 sec.) Все материалы представленные на сайте исключительно с целью ознакомления читателями и не преследуют коммерческих целей или нарушение авторских прав - Пожаловаться на публикацию