Главная Случайная страница


Полезное:

Как сделать разговор полезным и приятным Как сделать объемную звезду своими руками Как сделать то, что делать не хочется? Как сделать погремушку Как сделать так чтобы женщины сами знакомились с вами Как сделать идею коммерческой Как сделать хорошую растяжку ног? Как сделать наш разум здоровым? Как сделать, чтобы люди обманывали меньше Вопрос 4. Как сделать так, чтобы вас уважали и ценили? Как сделать лучше себе и другим людям Как сделать свидание интересным?


Категории:

АрхитектураАстрономияБиологияГеографияГеологияИнформатикаИскусствоИсторияКулинарияКультураМаркетингМатематикаМедицинаМенеджментОхрана трудаПравоПроизводствоПсихологияРелигияСоциологияСпортТехникаФизикаФилософияХимияЭкологияЭкономикаЭлектроника






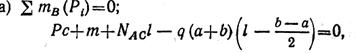
Решение. Рассмотрим равновесие балки AB, к которой приложены как заданные, так и искомые силы





 

Рассмотрим равновесие балки AB, к которой приложены как заданные, так и искомые силы.

На балку действуют равномерно распределенная на­грузка интенсивностью q, сила Р и сосредоточенный мо­мент т.

Освободим балку от связей и заменим их действие реакциями (рис. 1.19, б). Получили плоскую систему про­извольно расположенных сил.

Выбираем систему координат (см. рис. 1.19, б) и со­ставляем уравнения равновесия:


где q (a + b) — равнодействующая

равномерно распреде­ленной нагрузки интенсивностью q (на чертеже она показана штриховой ли­нией).

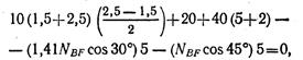
Подставив числовые значения, получим:

откуда NAC = 16 кН;

Напомним, что сумма проекций сил, образующих пару, на любую ось равна нулю;

где NBD cos α — вертикальная составляющая силы NBD', NBFcos β — вертикальная составляющая силы N B F (линии действия горизонтальных состав­ляющих сил NBD и NBF проходят через точку А и поэтому их моменты относи­тельно точки А равны нулю). Подставляя числовые значения и учитывая, что N B D = 1,41 NBF, получаем:

откуда N B F = 33,1 кН.

Тогда NBD = 1,41*33,1 = 46,7 кН.

Для определения усилий в стержнях не было исполь­зовано уравнение равновесия: ΣPto= 0. Если усилия в стержнях определены верно, то сумма проекций на ось v всех сил, действующих на балку, должна быть равна нулю. Проектируя все силы на ось v, получаем:

следовательно, усилия в стержнях определены верно.

 

Пример 6. Для заданной плоской рамы (рис. 1.20, а) определить опорные реакции







Date: 2015-09-27; view: 862; Нарушение авторских прав



mydocx.ru - 2015-2026 year. (0.376 sec.) Все материалы представленные на сайте исключительно с целью ознакомления читателями и не преследуют коммерческих целей или нарушение авторских прав - Пожаловаться на публикацию