Главная Случайная страница


Полезное:

Как сделать разговор полезным и приятным Как сделать объемную звезду своими руками Как сделать то, что делать не хочется? Как сделать погремушку Как сделать так чтобы женщины сами знакомились с вами Как сделать идею коммерческой Как сделать хорошую растяжку ног? Как сделать наш разум здоровым? Как сделать, чтобы люди обманывали меньше Вопрос 4. Как сделать так, чтобы вас уважали и ценили? Как сделать лучше себе и другим людям Как сделать свидание интересным?


Категории:

АрхитектураАстрономияБиологияГеографияГеологияИнформатикаИскусствоИсторияКулинарияКультураМаркетингМатематикаМедицинаМенеджментОхрана трудаПравоПроизводствоПсихологияРелигияСоциологияСпортТехникаФизикаФилософияХимияЭкологияЭкономикаЭлектроника






Магнитное поле и его характеристики. Магнитное поле и магнитный момент кругового тока. Магнитное взаимодействие токов. Силы Ампера и Лоренца





 

1. Определить магнитную индукцию В поля, создаваемого отрезком бесконечно длинного прямого провода, в точке, равноудаленной от концов отрезка и находящейся на расстоянии r0=20 см от середины его (рис. 21.4). Сила тока I, текущего по проводу, равна 30 А, длина l отрезка равна 60 см.

Решение. Для определения магнитной индукции поля, создаваемого отрезком провода, воспользуемся законом Био-Савара-Лапласа:

. (1) Рис. 21.4

Из рисунка 21.4 видно, что

,

Следовательно, имеем:

,

или

. (2)

Проинтегрировав выражение (2) в пределах от a1 до a2 получим:

(3)

При симметричном расположении точки A относительно отрезка провода cosa2=-cos a1. С учетом этого имеем:

.

Из рисунка 21.4 видно, что

.

Следовательно, окончательно будем иметь:

(4)

Подставив числовые значения в формулу (4), произведем вычисления:

мкТл.

Ответ: B=24,9 мкТл.

 

2. Два параллельных бесконечно длинных провода, по которым текут в одном направлении токи силой I=60 А, расположены на расстоянии d=10 см друг от друга. Определить индукцию магнитного поля B, создаваемого проводниками в точке А, отстоящей от оси одного проводника на расстоянии r1=5 см, от другого – r2=12 см. Проводники и рассматриваемая точка поля не находятся на одной прямой

Решение. Для определения индукции магнитного поля B, в рассматриваемой точке А, воспользуемся принципом суперпозиции магнитных полей. Индукция результирующего магнитного поля равна геометрической сумме:

B=B1+B2.

По теореме косинусов модуль вектора B равен:

, (1)

а , ,

где a – угол между векторами B1 и B2.

Численные значения векторов магнитных индукций B1 и B2 определяются, соответственно, через силу тока I и расстояний r1, r2 от проводников до точки А, соотношениями:

, ,

где m=1 – относительная магнитная проницаемость воздуха.

Подставляя значения B1 и B2 в формулу (1), получим:

. (2)

Размерность полученного результата очевидна.

Подставив в формулу (2) числовые значения физических величин, произведем вычисление:

Ответ: B=3,1∙10-4 Тл.

 

3. По двум длинным прямолинейным проводам, находящимся на расстоянии r=5 см друг от друга в воздухе, текут токи I=10 А каждый. Определить магнитную индукцию В поля, создаваемого токами в точке, лежащей посередине между проводами, для случаев:

1) провода параллельны, токи текут в одном направлении (рис. 21.3, а);

2) провода параллельны, токи текут в противоположных направлениях (рис. 21.3, б);

3) провода перпендикулярны, направление токов указано на рис. 21.3, в.

Решение: Результирующая индукция магнитного поля равна векторной сумме:

B=B1+B2,

где B1 – индукция поля, создаваемого током I1; В2 – индукция поля создаваемого током I2.

Если B1 и В2 направлены по одной прямой, то векторная сумма может быть заменена алгебраической суммой:

В=В12. (1)

Так как точки выбраны на равных расстояниях от проводов, по которым текут равные токи, то во всех трех случаях модули индукций В1 и В2 одинаковы В12, при этом:

Тл. (2)

1-й случай. Векторы B1 и В2 направлены по одной прямой (рис. 21.3а). Направление векторов определяется правилом "правого винта". Приняв направление вверх положительным, вниз – отрицательным, запишем: В1=-80 мкТл, В2=80 мкТл.

Подставив в формулу (1) эти значения В1 и B2, получим

В=В12=0.

2-й случай. Векторы В 1 и В 2 направлены по одной прямой в одну сторону (рис. 21.3, б). Поэтому можем записать

В12=-80 мкТл.

Подставив в формулу (1) значения B1 и В2 получим:

В=В12=-160 мкТл.

3-й случай. Векторы индукций магнитных полей, создаваемых токами в точке, лежащей посередине между проводами, взаимно перпендикулярны (рис. 21.3, в). Результирующая индукция по модулю и направлению является диагональю квадрата, построенного на векторах В 1 и В 2. По теореме Пифагора найдем

(3)

Подставив в формулу (3) значения В1 и В2 и вычислив, получим:

B=113 мкТл.

Ответ: 1) В=0; 2) В=-160 мкТл; 3) В=В12=-160 мкТл.

 

4. Длинный провод с током I=50 А изогнут под углом a=2p/3. Определить магнитную индукцию B в точке А, расположенной от угла a на продолжении оси одного из концов провода. Расстояние от угла до рассматриваемой точки поля d=5 см.

Решение. Изогнутый провод можно рассматривать как два длинных провода, концы которых соединены в некоторой точке О.

В соответствии с принципом суперпозиции магнитных полей индукция результирующего магнитного поля B в точке А равна геометрической сумме индукциймагнитных полей B1 и B2 полей, создаваемых отрезками длинных проводов 1 и 2:


B=B1+B2.

Точка А лежит на оси провода 2, следовательно B2 =0. Индукцию магнитного поля B1 определим, воспользовавшись соотношением:

,

где μ=1 – относительная магнитная проницаемость среды (воздуха); a1 и a2 – углы между направлением тока в проводнике и направлением на рассматриваемую точку поля; ro – кратчайшее расстояние от провода 1 до точки А.

В нашем случае a1®0 (провод длинный), a2=a=2p/3 (cosa2=cos(2p/3)=-1/2). Расстояние ro=d sin(p-a)=d sin(p/3). Имеем:

.

Произведем вычисления:

.

Ответ: B1=3,5∙10-5 Тл.

 

5. Два бесконечно длинных провода скрещены под прямым углом. По проводам текут токи I1=80 А и I2=60 А. Расстояние между проводами d=10 см. Определить индукцию магнитного поля B в точке А расположенной между проводами, удаленной от них на одинаковом расстоянии r0=d/2.

Решение. В соответствии с принципом суперпозиции магнитных полей индукция результирующего магнитного поля B, создаваемого токами I1 и I2, определяется выражением:

B=B1+B2,

где B1, B2 – соответственно индукции магнитных полей, создаваемых этими токами в рассматриваемой точке.

В рассматриваемом случае векторы B1 и B2 взаимно перпендикулярны, следовательно, на основании теоремы Пифагора будем иметь:

.

Согласно формулам для определения индукции магнитного поля, порождаемого бесконечно длинным прямолинейным проводником с током:

; ,

где ro=d/2. Таким образом, имеем:

.

Произведем вычисления:

.

Ответ: B=4∙10-4 Тл.

 

6. По тонкому проводящему кольцу радиусом R=10 см течет ток I=80 А. Найти индукцию магнитного поля В в точке A, равноудаленной от всех точек кольца на расстояние г=20 см.

Решение. Для решения задачи воспользуемся законом Био-Савара-Лапласа в виде:

,

где d B – индукция магнитного поля, создаваемого элементом тока I∙dl в точке, определяемой радиус-вектором r.

Выделим на кольце элемент d и от него в точку А проведем радиус-вектор r (рис. 21.7). Направление вектора d B указано в соответствии с правилом буравчика.

Согласно принципу суперпозиции магнитных полей, индукция магнитного поля В в точке А определяется соотношением: Рис. 21.7

,

где интегрирование ведется по всем элементам dℓ кольца.

Разложим вектор d B на две составляющие: d B – перпендикулярную плоскости кольца и d B – параллельную плоскости кольца, при этом

d B= d B^+ d B .

Тогда

Из соображений симметрии , а векторы d B от различных элементов d I сонаправлены, векторное суммирование (интегрирование) заменим скалярным:

где , а , cos β= R/r (рис. 21.7).

Так как d I перпендикулярен r sina=1. Таким образом,

Выразим все величины в единице СИ, произведем вычисления:

Вектор В направлен вдоль осикольца (пунктирная стрелка на рис.21.7) в соответствии с правилом "правого винта".

7. Бесконечно длинный провод изогнут так, что в его середине образовалась полуокружность с радиусом R=10 см. Образовавшиеся концы провода взаимно перпендикулярны. Определить индукцию магнитного поля B ( магнитную индукцию B) в точке О (в центре полуокружности) током I=80 А, текущим по этому проводу.


Решение. Индукцию магнитного поля B в точке О можно определить, используя принцип суперпозиции магнитных полей:

.

Для этого провод представим в виде трех частей: два прямолинейных провода (1 и 3), одним концом уходящие в бесконечность, и дугу полуокружности (2) радиуса R. Тогда

B=B1+B2 + B3,

где B1, B2, B3 –индукции магнитных полей, создаваемых током в точке О, текущим соответственно на первом, втором и третьем участках провода.

Так как точка О лежит на оси первого участка провода, то

B1 =0

и тогда

B=B2 + B3.

Учитывая, что векторы B2 и B3 направлены в соответствии с правилом правого винта (правилом векторного умножения) перпендикулярно плоскости чертежа от нас, то геометрическое суммирование можно заменить алгебраическим:

B = B2+B3.

Индукцию магнитного поля B2 найдем, воспользовавшись выражением для магнитной индукции в центре кругового тока:

.

Так как магнитное поле в точке О создается лишь половиной кругового тока и в воздухе (среда не определена), то

.

Магнитную индукцию B3 определим, воспользовавшись соотношением для бесконечно длинного проводника с током:

.

В данном случае ro=R, a1=p/2 (cosa1=0), a2®p (cosa2=-1). Тогда

.

Используя найденные выражения для B2 и B3, получим

.

Произведем вычисления:

.

Ответ: B=3,31∙10-4 Тл.

 

8. По двум параллельным прямым проводам длиной l=2,5 м каждый, находящимся на расстоянии d=20 см друг от друга, текут одинаковые токи I=1 кА, в одном направлении. Вычислить силу взаимодействия токов (рис. 22.1).

Решение. Взаимодействие двух проводов, по которым текут токи, осуществляется благодаря наличию вокруг них магнитных полей, так как каждый из проводов создает собственное магнитное поле, которое действует на другой провод.

Оба тока I1 и I2 текут в одном направлении. Предположим, что первый ток создает магнитное поле, а второй помещается в него. Так как l>>d, то провода можно считать бесконечно длинными. Тогда модуль индукции магнитного поля первого тока определяется соотношением

(1)

(считаем, что провода находятся в воздухе).

Согласно закону Ампера, на каждый элемент второго провода с током I2 длиной dℓ действует в магнитном поле сила

,

где a – угол между направлением вектора d и направлением вектора B1.

Векторы d и B1 взаимно перпендикулярны, следовательно, sina=1, а

.

Тогда формула для B1 согласно (1), будет иметь вид:

.

Силу взаимодействия проводов с током найдем интегрированием:

.

Так как I1=I2=I, имеем

.

Произведем вычисления:

.

Ответ: F=2,5 Н.

 

9. По проводнику, согнутому в виде квадратной рамки со стороной 10 см, течет ток силой 5 А. Определить напряженность магнитного поля в точке, расположенной на перпендикуляре к его центру и равноудаленной от вершин квадрата на расстояние, равное его стороне.


Решение. Искомая напряженность H магнитного поля в точке А является векторной суммой напряженностей H1, H2, H3, H4, создаваемых в этой точке токами, текущими в каждом из четырех проводов, являющихся сторонами квадрата. Из соображений симметрии все четыре напряженности по абсолютной величине равны между собой. Геометрическая сумма H=H1 ++ H2+H3 + H4 будет направлена вдоль перпендикуляра к плоскости квадрата и равна сумме проекций всех векторов на направление этой оси, т.е. H= 4 H1, или

H=4H1∙cosa,

где a – угол между вектором H1 и перпендикуляром к плоскости квадрата. Из рисунка видно, что , следовательно

. (1)

Напряженность магнитного поля, создаваемого отрезком провода, выражается формулой:

, (2)

где I – сила тока в проводнике; r – кратчайшее расстояние от проводника до точки, напряженность поля в которой надо определить; β1, β2 – углы, образованные направлением тока в проводнике и радиус-векторами, проведенными от концов проводника к точке А.

В данном случае β2=p-β1, следовательно, cosβ2=-cosβ1, и выражение (2) приобретает вид:

(3)

Подставляя это выражение H1 в формулу (1), получим:

, (4)

где и cosβ2=0,5. В результате равенство (4) можно переписать в виде:

.

Произведем вычисления:

А/м.

Ответ: H=11 А/м.

 

10. Квадратная рамка со стороной 2 см, содержащая 100 витков тонкого провода подвешена на упругой нити, постоянная кручения которой 0,1 г∙см/град. Плоскость рамки совпадает с направлением линий напряженности внешнего магнитного поля. Определить напряженность внешнего магнитного поля, если при пропускании по рамке тока силой 1 А она повернулась на угол 60o.

Решение. Напряженность внешнего магнитного поля H может быть найдена из условия равновесия рамки в поле. Рамка будет находиться в равновесии в том случае, если сумма вращающих моментов, действующих на нее, будет равна нулю:

. (1)

В данном случае на рамку действуют два момента: M1 момент сил, с которым внешнее магнитное поле действует на рамку с током, и M2 – момент упругих сил, возникающих при закручивании нити, на которой она подвешена. Следовательно, формула (1) может быть переписана в виде:

M1+M2 =0.

Так как M1 = pmB∙sina; M2=-Cj, то

pmB∙sina-Cj=0, (2)

где pm – магнитный момент рамки с током; B – индукция магнитного поля; a – угол между нормалью к плоскости рамки и направлением линий индукции магнитного поля; φ – угол, на который повернется рамка; С – постоянная кручения, показывающая величину момента упругой силы, возникающей при повороте рамки на угол, равный единице.

Знак "минус" в выражении для M2 означает, что этот момент противоположен по направлению моменту M1 сил, действующих на рамку со стороны магнитного поля.

Если учесть, что

pm=ISN=I∙a2∙N, B=μoH,

где I – сила тока в рамке; S - площадь рамки; a - сторона квадратной рамки; N - число витков рамки; μo- магнитная постоянная; H – напряженность магнитного поля.

Формулу (2) можно переписать в виде:

μoI∙a2∙N∙H∙sinα-Cj=0,

откуда

. (3)

Так как a=p/2-φ, значит sina=cosφ, то уравнение (3) примет вид:

. (4)

Подставив значения величин, входящих в (4) в системе СИ, будем иметь:

.

Ответ: H=2,3∙104 А/м.

 

11. Квадратная рамка со стороной длиной а=2 см, содержащая N=100 витков тонкого провода, подвешена на упругой нити, постоянная кручения С, которой равна 10 мкН·м/град. Плоскость рамки совпадает с направлением линии индукции внешнего магнитного поля. Определить индукцию внешнего магнитного поля, если при пропускании по рамке тока I=1 А она повернулась на угол α=60°.

Решение. Индукция В внешнего поля может быть найдена из условия равновесия рамки в поле. Рамка будет находиться в равновесии, если сумма механических моментов, действующих на нее, будет равна нулю:

В данном случае на рамку действуют два момента (рис. 22.3): M 1 – момент сил, с которым внешнее магнитное поле действует на рамку с током, и М 2 – момент упругих сил, возникающих при закручивании нити, на которой рамка подвешена. Следовательно, формула (1) может быть переписана в виде

M 1+ M 2=0.

Выразив М1 и М2 в этом равенстве через величины, от которых зависят моменты сил, получим:

pmB∙sina-Cj=0. (2)

Знак "минус" перед моментом М2 ставится потому, что этот момент противоположен по направлению моменту M1.

Если учесть, что pm=ISN=Ia2N, где I — сила тока в рамке; S=a2 – площадь рамки; N — число ее витков, равенство (2) перепишем в виде

I∙a2∙N∙B∙sinα-Cj=0,

откуда

. (3)

Из рисунка 22.3 видно, что α=π/2-φ, значит, sinα=cosφ. С учетом этого равенство (3) примет вид:

. (4)

Значение постоянной кручения С, рассчитанной на градус (а не радиан, как это следовало бы выразить в СИ), запишем в виде С=10∙10-6 H∙м/град так как значение угла φ также дано в градусах.

Подставим данные в формулу (4) и произведем вычисления:

мТл.

Ответ: В=30 мТл.

 

12. Плоский квадратный контур со стороной а=10 см, по которому течет ток I=100 А, свободно установился в однородном магнитном поле индукцией B=1 Тл. Определить работу, совершаемую внешними силами при повороте контура относительно оси, проходящей через середину его противоположных сторон, на угол: 1) α1=90o; 2) α2=3o. При повороте контура сила тока в нем поддерживается постоянной.

Решение. Как известно, на контур с током в магнитном поле действует вращающий момент:

M=pmB∙sinα, (1)

где pm – магнитный момент контура; B – индукция магнитного поля; α – угол между векторами p mи B.

По условию задачи в начальном положении контур свободно установился в магнитном поле. При этом момент сил равен нулю (M=0), а значит, α=0, т.е. вектора p m и B совпадают по направлению. Если внешние силы выведут контур из положения равновесия, то возникший момент сил, определяемый формулой (1), будет стремиться возвратить контур в исходное положение.

Против этого момента и будет совершаться работа внешними силами. Так как момент сил переменный (зависит от угла поворота α), то для подсчета работы применим формулу работы в дифференциальной форме:

dA=M∙dφ.

Подставив сюда выражение M по (1) и учтя, что pm=IS=Ia2, где I – сила тока в контуре; S=a2 – площадь контура, получим:

dA=M∙dφ=pmB∙sinφ∙dφ=Ia2∙B∙sinφ∙dφ. (2)

Проинтегрировав (2), найдем работу при повороте контура на конечный угол:

. (3)

1) Работа при повороте на угол φ1=90o:

ô . (4)

Выразив числовые значения величин в единицах системы СИ, подставив в (4), будем иметь:

A1=100∙1∙(0,1)2=1 Дж.

2) Работа при повороте на угол φ2=3o.

В этом случае, учитывая, что угол φ2 мал, заменим в выражении (3) sinφ≈φ:

(5)

Выразим угол φ2 в радианах. После подстановки числовых значений величин в (5), найдем:

A2=0,5∙100∙1∙(0,1)2∙(0,0523)2=1,4∙10-3 Дж.

Ответ: A1=1 Дж; A2=1,4∙10-3 Дж.

 

13. Коаксиальный кабель представляет собой длинную металлическую тонкостенную трубку радиуса R=10 мм, вдоль оси которой, расположен тонкий провод. Силы токов в трубке и проводе равны, направления противоположны. Определить магнитную индукцию в точках 1 и 2, удаленных соответственно на расстояния r1=5 мм и r2=15 мм от оси кабеля, если сила тока I=0,50 А.

Решение. Магнитная индукция в каждой из точек 1 и 2 равна векторной сумме магнитных индукций, созданных двумя токами: трубки и осевого провода. Индукция магнитного поля осевого провода можно определить по формуле

B1 = μoI/(2pd), (1)

где d – расстояние от точки А до оси проводника.

Мысленно выделив на трубке тонкие полоски, параллельные осевому проводу, можно представить ток трубки как совокупность параллельных токов, идущих по эти полоскам. Индукцию магнитного поля каждого такого тока можно определить по формуле

dB = μo∙dI/(2pd). (2)

Индукция магнитного поля тока трубки будет определяться суммированием (интегрированием) магнитных индукций d B элементарных прямолинейных проводников с током. Однако этот метод неудобен, так как хотя магнитное поле тока, текущего по коаксиальному кабелю, является осесимметричным (его ось симметрии совпадает с осью кабеля), точки 1 и 2 не лежат на этой оси. Поэтому при суммировании векторов d B, имеющих различное направление, нельзя воспользоваться соображениями симметрии.

Симметрия магнитного поля тока коаксиального кабеля позволяет решить задачу, применив теорему о циркуляции вектора индукции магнитного поля. Действительно из соображений симметрии следует, что линии индукции магнитного поля тока кабеля, являясь замкнутыми, должны иметь форму окружностей, центры которых лежат на оси кабеля и плоскости которых перпендикулярны этой оси. При этом, из тех же соображений симметрии вытекает, что во всех точках одной и той же линии индукции величина B одинакова. В этом случае целесообразно применить формулу:

.

В качестве контура интегрирования рассмотрим линию индукции магнитного поля, проходящую через точку 1. Учитывая, что для всех элементов этой линии cos(B,d l)=1, запишем

.

откуда

.

Выразив в единицах СИ входящие в формулу величины, произведя вычисления, получим:

.

Аналогично определим величину B2. Для этого в качестве контура интегрирования возьмем линию индукции, проходящую через точку 2. Поскольку контур интегрирования охватывает два тока, равных по модулю и противоположно направленных, то

откуда B2=0.

Замечание. Полученные результаты позволяют сделать следующие выводы:

1. Магнитное поле тока, идущего по коаксиальному кабелю, сосредоточено целиком внутри кабеля.

1. Это поле таково, как если бы его создавал один ток, идущий по осевому проводу. Следовательно, ток, идущий по трубе кабеля (тонкостенному длинному цилиндру), не создает внутри нее магнитного поля.

2. Отсутствие результирующего поля вне кабеля свидетельствует о численном равенстве (и противоположном направлении) магнитных индукций токов трубки и осевого провода. Другими словами, магнитное поле тока, идущего по длинному цилиндра, для точек, вне цилиндра, можно рассчитывать, заменив цилиндр линейным проводником, расположенным вдоль оси цилиндра.

 

1.1.10. Длинный цилиндр из диэлектрика, по поверхности которого равномерно распределен положительный заряд с линейной плотностью t=10 мкКл/м, вращается вокруг своей оси, совершая no=100 об/с. Определить индукцию магнитного поля в двух точках: в середине оси цилиндра и в центре одного из его оснований.

Решение. Прежде всего заметим, что круговое движение электрических зарядов при вращении длинного цилиндра соответствует току, проходящему по виткам соленоида, имеющего такие же размеры, что и цилиндр. Следовательно, магнитное поле данного вращающегося цилиндра эквивалентно магнитному полю длинного соленоида с током. Поэтому индукцию магнитного поля в середине цилиндра вычислим по формуле:

. (1)

Чтобы выразить произведение nI через заданные в условии величины no и t, рассмотрим прямоугольную площадку DS, сторона которой, параллельна оси цилиндра, имеет единичную длину. За каждый оборот цилиндра через эту площадку проходит весь заряд, расположенный на поверхности цилиндра единичной длины, т.е. заряд, численно равный величине t. Следовательно, через площадку DS за промежуток времени Dt пройдет заряд, численно равный

q'=notDt. (2)

В случае соленоида через такую же площадку DS за промежуток времени Dt пройдет заряд, численно равный

q''=nIDt. (3)

Магнитные поля токов соленоида и вращающегося цилиндра эквивалентны при условии q'=q''. Приравнивая правые части формул (2), (3), получаем nI=not.

Подставив это значение nI в формулу (1), найдем индукцию магнитного поля в середине вращающегося цилиндра:

BА=onot. (4)

Чтобы определить индукцию магнитного поля в центре одного из оснований цилиндра, учтем, что в задаче речь идет о бесконечно длинном цилиндре, длина которого значительно превышает его диаметр. Если мысленно разделить цилиндр пополам плоскостью, перпендикулярной оси вращения, и удалить одну половину, то индукция магнитного поля в точке А уменьшится вдвое и станет равной

BА'=onot/2.

Это вытекает из принципа суперпозиции магнитных полей, в силу которого каждая половина вращающегося цилиндра вносила одинаковый вклад в магнитное поле в точке А. В тоже время индукция в точке, расположенной в центре одного из оснований цилиндра, не изменится при удалении одной из половин цилиндра, так как при большой длине оставшейся половины цилиндра вклад, вносимый в магнитное поле этой точки удаленной половины, был пренебрежимо мал. Но из соображений симметрии следует, что магнитные поля у концов оставшейся половины должны быть одинаковыми. Таким образом, получаем

BC=BА'=onot/2. (5)

Подставив числовые значения величин, выраженные в единицах системы СИ, в формулы (4) и (5), произведем вычисление:

BА=4p10-71001,0010-5=12,610-10 Тл.

BС=(4p10-71001,0010-5)/2=6,310-10 Тл.

Ответ: BА=12,610-10 Тл BС=6,310-10 Тл.

 

1.1.11. В центре длинного соленоида, имеющего n=5000 витков на метр, помещена рамка, состоящая из N=50 витков провода площадью S= 4,0 см2 каждый. Рамка может вращаться вокруг оси ОО', перпендикулярной оси соленоида, и удерживаться в равновесии спиральной пружиной так, что при этом ее плоскость параллельна оси соленоида. При пропускании тока по рамке и соленоиду, соединенных последовательно, рамка повернулась на угол =60o. Определить силу тока, если жесткость пружины k=6,0010-5 Нм/рад. (Жесткость спиральной пружины измеряется вращающим моментом, необходимым для закручивания пружины на угол a=1 радиану).

Решение. При появлении тока рамка оказывается в однородном поле соленоида. На нее будет действовать вращающий момент M, под действием которого рамка повернется, закручивая пружину. Рамка установится в таком положении, когда вращающий момент магнитных сил M уравновесится моментом упругих сил Mупр. пружины, т.е.

M =- Mупр. (1)

Момент M найдем по формуле:

M=pmBsina, (2)

где pm=IS – магнитный момент одного витка рамки;

B=onI – индукция магнитного поля соленоида.

С учетом того, что рамка состоит из N витков, формулу (2) перепишем в виде:

M=NISonIsina=onI2NSsina, (3)

где a – угол между векторами pm и B. Заметим, что в отсутствии тока a=p/2.

При устойчивом равновесии свободной рамки вектор pm всегда параллелен вектору B и при этом a=0. Поэтому под действием момента магнитных сил M рамка поворачивается так, что угол a уменьшается. Если рамка повернулась на угол , то возникающий при этом момент упругих сил Mупр. пружины согласно закону Гука равен:

Mупр=k, (4)

где k – жесткость пружины.

Приравняв на основании (1) правые части формул (3), (4) и учитывая, что a=p2 – , получим:

onI2NScos=k,

откуда I=[(k)/(onNScos)]1/2.

Выразив все величины в единицах системы СИ, произведем вычисления:

I=[(6,0010-5p/3)/(4p10-75051034,010-40,50)]1/2=1,0 А.

Ответ: I=1,0 А.

 

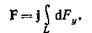
Пример 2. Провод в виде тонкого полукольца радиусом R=10 см находится в однородном магнитном поле (B=50 мТл). По проводу течет ток I=10 А. Найти силу F, действующую на провод, если плоскость полукольца перпендикулярна линиям магнитной индукции, а подводящие провода находятся вне поля.

Решение. Расположим провод в плоскости чертежа перпендикулярно линиям магнитной индукции (рис. 22.2) и выделим на нем малый элемент dl с током. На этот элемент тока Idl будет действовать по закону Ампера сила d F =I[dlB]. Направление этой силы можно определить по правилу векторного произведения или по правилу левой руки.

Используя симметрию, выберем координатные оси так, как это изображено на рис. 22.2. Силу d F представим в виде

где i и j — единичные векторы (орты); dFx и dFy — проекции вектора d F на координатные оси Ох и Оу.

Силу F, действующую на весь провод, найдем интегрированием:

где символ L указывает на то, что интегрирование ведется по всей длине провода L.

Из соображений симметрии первый интеграл равен нулю

тогда

(1)

 

Из рис. 22.2 следует, что

где dF— модуль вектора Так как векторdlперпендикулярен вектору то Выразив длину дуги dlчерез радиус Rиугол α, получим

Тогда

Введем dFy под интеграл соотношения (1) и проинтегрируем в пределах от -π/2 до +π/2 (как это следует из рис. 22.2):

Из полученного выражения видно, что сила F сонаправлена с положительным направлением оси Оу (единичным вектором j).

Найдем модуль силы F:

Убедимся в том, что правая часть этого равенства дает единицу силы (Н):

Произведем вычисления:

1.1.12. Рядом с длинным прямым проводом MN, по которому идет ток силой I, расположена квадратная рамка со стороной l, с током I'. Рамка лежит в одной плоскости с проводом MN так, что одна ее сторона, ближайшая к проводу, находится на расстоянии ao. Определить магнитную силу, действующую на рамку, а также работу этой силы при удалении рамки из магнитного поля. Считать, что при движении рамки токи I и I' поддерживаются постоянными.

Решение. В данном случае рамка с током находится в неоднородном магнитном поле, так как магнитная индукция B убывает при удалении от провода MN. В этом случае на контур кроме вращающего момента действует сила. Перемещая контур, эта сила совершает работу.

На каждый элемент длины контура рамки, расположенного в магнитном поле тока I, действует сила Ампера:

d F= I[d l B ].

Направление этой силы зависит, в частности, от направления вектора магнитной индукции B в том месте, где находится этот элемент. Направления линий индукции, определяются правилом правого винта. Применив правило левой руки, найдем направления сил, действующих на все стороны рамки. Так как две стороны рамки перпендикулярны проводу MN, расположены одинаково относительно провода, то действующие на них силы численно равны, но противоположны по направлению (F3=F4), уравновешивают друг друга. Следовательно, равнодействующая всех сил, приложенных к рамке, численно равна разности сил, действующих на стороны рамки, расположенный параллельно проводу MN и направлена в сторону от провода:

F=F1 – F2, (1)

где F1, F2 – соответственно силы, действующие на ближнюю и удаленную от провода стороны рамки.

Силы F1 и F2 можно определить, воспользовавшись законом Ампера:

dFА=I'dlBsin(d l, B). (2)

Учтем, что для всех элементов dl одной и той же стороны рамки sin(d l, B)=1 и величина B одинакова. Поэтому силу, действующую на каждую из сторон, на основании (2) выразим так:

. (3)

Магнитная индукция длинного прямого провода с током определяется формулой

. (4)

Подставив это значение B в (3), найдем:

, (5)

где a – расстояние от соответствующей стороны рамки до провода MN.

В рассматриваемом случае:

; .

Тогда результирующая сила F, будет равна:

. (6)

При удалении рамки от провода за пределы магнитного поля тока I силы F1, F2, которые теперь будем рассматривать как переменные величины, совершат работу: сила F1 – положительную A1, сила F2 – отрицательную работу A2. Считая каждую из величин A1, A2 работой переменной силы, найдем полную работу, совершенную магнитными силами:

. (7)

Чтобы вычислить каждый из этих интегралов, надо знать, как зависит сила от расстояния до провода MN. Формула (5) определяет эту зависимость, однако она верна лишь для бесконечно длинного провода. При значительном удалении от провода условия 1=0 и 2=p перестают выполняться и формула (5) перестает быть верной. Однако, найти разность интегралов, стоящую в формуле (7), можно. Для этого воспользуемся тем, что сила F1, переместив ближайшую к проводу сторону квадрата на расстояние l, в дальнейшем совершит точно такую же по абсолютному значению работу, что и сила F2, перемещающая противоположную сторону квадрата, так как первый проводник, пройдя путь l, затем в точности повторит движение второго проводника. Имея противоположные знаки, эти два значения работы дают в сумме нуль. Следовательно, искомая работа равна работе силы F1 при перемещения первого проводника из начального положения на расстояние l. Поэтому, учитывая формулу (5), получим

.







Date: 2015-09-18; view: 6611; Нарушение авторских прав



mydocx.ru - 2015-2026 year. (0.483 sec.) Все материалы представленные на сайте исключительно с целью ознакомления читателями и не преследуют коммерческих целей или нарушение авторских прав - Пожаловаться на публикацию