Главная Случайная страница


Полезное:

Как сделать разговор полезным и приятным Как сделать объемную звезду своими руками Как сделать то, что делать не хочется? Как сделать погремушку Как сделать так чтобы женщины сами знакомились с вами Как сделать идею коммерческой Как сделать хорошую растяжку ног? Как сделать наш разум здоровым? Как сделать, чтобы люди обманывали меньше Вопрос 4. Как сделать так, чтобы вас уважали и ценили? Как сделать лучше себе и другим людям Как сделать свидание интересным?


Категории:

АрхитектураАстрономияБиологияГеографияГеологияИнформатикаИскусствоИсторияКулинарияКультураМаркетингМатематикаМедицинаМенеджментОхрана трудаПравоПроизводствоПсихологияРелигияСоциологияСпортТехникаФизикаФилософияХимияЭкологияЭкономикаЭлектроника






Безопасность





Рабочий диапазон температур

Не существует теплоносителя, способного перекрыть весь диапазон от 0 до3000 Кельвина. У каждого вида теплоносителя есть свой рабочий диапазон, есть диапазон, в котором теплоноситель может находиться небольшое время без существенной деградации.

Однако существуют терможидкости с расширенным рабочим диапазоном, который недостижим для воды, силиконовых масел и других классических теплоносителей.

Теплоёмкость

Определяет количество теплоносителя, которое необходимо прокачивать в единицу времени для переноса заданного количества тепла.

Коррозионная активность

Ограничивает применение некоторых теплоносителей, заставляет добавлять ингибиторы коррозии (классический пример - гликолевые антифризы для автомобилей), накладывает ограничения на материал конструкции.

Вязкость

Косвенно влияет на скорость прокачки, на потери в трубопроводах, на коэффициент теплопередачи в теплообменниках. Может изменяться в очень широких пределах при изменении температуры.

Смазывающая способность

Накладывает ограничения на конструкцию и материалы циркуляционного насоса и прочих механизмов, соприкасающихся с теплоносителем.

Безопасность

Температура вспышки, температура воспламенения, токсичность жидкости и её паров. Вероятность ожогов, как горячих, так и криоожогов.

1. Нагревание водяным паром

Одним из наиболее широко применяемых греющих агентов является насыщенный водяной пар. Это объясняется существенными достоинствами его как теплоносителя. В результате конденсации пара получают большие количества тепла при относительно небольшом расходе пара, так как теплота конденсации его составляет приблизительно 2,26 ∙ 106 дж/кг (540 ккал/кг) при давлении 9,8 ∙ 104 н/м2 (1 ат). Вследствие высоких коэф­фициентов теплоотдачи от конденсирующегося пара сопротивление пере­носу тепла со стороны пара мало. Это позволяет проводить процесс нагре­вания при малой поверхности теплообмена.

Важным достоинством насыщенного пара является постоянство тем­пературы его конденсации (при данном давлении), что дает возможность точно поддерживать температуру нагрева, а также в случае необходимости регулировать ее, изменяя давление греющего пара.

При использовании тепла парового конденсата к. п. д. нагревательных паровых устройств довольно высок. Пар удовлетворяет также другим требованиям, предъявляемым к теплоносителям (доступность, пожаро-безопасность и др.).

Основной недостаток водяного пара — значительное возрастание давления с повышением температуры. Вследствие этого температуры, до которых можно производить нагревание насыщенным водяным паром, обычно не превышают 180—190 °С, что соответствует давлению пара 10—12 am. При больших давлениях требуется слишком толстостенная и дорогостоящая теплообменная аппаратура, а также велики расходы на коммуника­ции и арматуру.

На производстве различают нагревание «глухим» и «острым» паром. При обогреве «глухим» паром пар от нагреваемой среды отделен теплопередающей стенкой.

При обогреве «острым» паром происходит непосредственное смешение пара с нагреваемой средой.

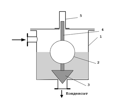
Нагревание глухим паром. Наиболее распространено нагревание глухим паром, передающим тепло через стенку теплообменного аппарата. Принципиальная схема нагревания глухим паром приведена на рис. 1.

 

Рис. 1. Схема нагревания глу­хим паром:

1 — паровой котел; 2 — теплообмен­ник-подогреватель; 3 — конденсатоотводчик; 4 — промежуточная емкость; 5 — центробежный насос.

Греющий пар из генератора пара — парового котла 1 направляется в теп­лообменник 2, где жидкость (или газ) нагревается паром через разделяю­щую их стенку. Пар, соприкасаясь с более холодной стенкой, конденси­руется на ней, и пленка конденсата стекает по поверхности стенки. Для того чтобы облегчить удаление конденсата, пар вводят в верхнюю часть аппарата, а конденсат отводят из его нижней части. Температура пленки конденсата близка к температуре конденсирующегося пара, и эти темпера­туры могут быть приняты равными друг другу.

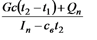
Расход D глухого пара при непрерывном нагревании определяют из уравнения теплового баланса:

D =

где G — расход нагреваемой среды; с — средняя удельная теплоемкость нагреваемой среды; t2, t1 — начальная и конечная температуры нагреваемой среды; I п, I к — энтальпии греющего пара и конденсата; Qп — потери тепла в окружающую среду.

Если пар не будет полностью конденсироваться на поверхности тепло­обмена и часть его будет уходить с конденсатом (так называемый про­летный пар), то это вызовет непроизводительный расход пара.


Чтобы избежать непроизводительного расхода пара и организовать беспрепятственное удаление из аппарата парового конденсата без выпуска пара, применяют специальные устройства — конденсатоотводчики.

Конденсатоотводчик обычно устанавливают ниже теплообменника и снабжают, обводной линией (байпасом), наличие которой позволяет не прерывать работы аппарата при кратковре­менном отключении конденсатоотводчика для его ремонта или замены.

 

 

 

Конденсатоотводчик с закрытым поплавком (используется при давлении свыше 1 МПа).

1-корпус; 2-Поплавок, всплывающий при поступлении конденсата и открывающий клапан 3; с выходом конденсата поплавок опускается, клапан закрывает выходное отверстие; 4 и 5 –стержень и направляющий стакан, фиксирующие вертикальное положение поплавка с клапаном.

Нагревание острым паром. В тех случаях, когда допустимо смешение нагреваемой среды с паровым конденсатом, используют нагревание острым паром, который вводят непосредственно в нагреваемую жид­кость. Такой способ нагрева проще нагрева глухим паром и позволяет лучше использовать тепло пара, так как паровой конденсат смешивается с нагреваемой жидкостью и их температуры выравниваются.

Если одновременно с нагреванием жидкость необходимо перемешать, то ввод острого пара осуществляют через барботеры — трубы, располо­женные у дна аппарата, закрытые с конца и снабженные множеством мелких отверстий, обращенных кверху.

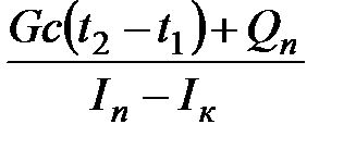
Расход острого пара определяют, учитывая равенство конечных тем­ператур нагреваемой жидкости и конденсата. Тогда по уравнению тепло­вого баланса находим

D I п + G с t 1 = D cв t2 + G c t2 + Qп,

откуда расход пара

D =

где cв — теплоемкость конденсата, а остальные обозначения те же, что и в уравне­нии (1).

G – расход нагреваемой жидкости, кг/с
с - средняя удельная теплоемкость нагреваемой среды, Дж/кг·К
t1,, t2 - начальная и конечная температуры нагреваемой среды, °С
Qпот – потери тепла от стенок в окружающую среду, Вт (для аппаратов, находящихся в помещении, Q пот = 3 – 5 % от всей подводимой теплоты)
Iп – удельная энтальпия греющего пара, Дж/кг

св - удельная теплоемкость конденсата, Дж/кг·К

При нагревании «острым» паром водяной пар вводится через барботеры в нагреваемую среду и смешивается с ней. Способ







Date: 2015-09-18; view: 736; Нарушение авторских прав



mydocx.ru - 2015-2026 year. (1.228 sec.) Все материалы представленные на сайте исключительно с целью ознакомления читателями и не преследуют коммерческих целей или нарушение авторских прав - Пожаловаться на публикацию