Главная Случайная страница


Полезное:

Как сделать разговор полезным и приятным Как сделать объемную звезду своими руками Как сделать то, что делать не хочется? Как сделать погремушку Как сделать так чтобы женщины сами знакомились с вами Как сделать идею коммерческой Как сделать хорошую растяжку ног? Как сделать наш разум здоровым? Как сделать, чтобы люди обманывали меньше Вопрос 4. Как сделать так, чтобы вас уважали и ценили? Как сделать лучше себе и другим людям Как сделать свидание интересным?


Категории:

АрхитектураАстрономияБиологияГеографияГеологияИнформатикаИскусствоИсторияКулинарияКультураМаркетингМатематикаМедицинаМенеджментОхрана трудаПравоПроизводствоПсихологияРелигияСоциологияСпортТехникаФизикаФилософияХимияЭкологияЭкономикаЭлектроника






Примеры





Задание 1. Найти длину окружности радиуса R

 

 

Решение: Найдем часть ее длины от точки (0;R). Так как

 

Задание 2. Вычислить объем V кругового конуса с радиусом основания r и высотой h

 

 

Решение: проведем через ось конуса секущую плоскость и выберем эту ось за ось х,считая начальной точкой вершину конуса; ось у проведем перпендикулярно к оси конуса. Уравнение образующей конуса будет

 

 

и по формуле

 

 

получим:

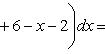
Задание 3: Найти путь, пройденный телом за 4 секунды от начала движения, если скорость тела v(t)=10t+2 (м/с).

 

Решение: Если v(t)=10t+2 (м/с), то путь, пройденный телом от начала движения (t =0) до конца 4-й секунды, равен

 

Задание 4: Найти объем тела, образованного вращением фигуры, ограниченной линиями , , вокруг оси

 

 

Решение:

Аналогично можно доказать, что объём тела, полученного вращением вокруг оси Оу можно вычислить по формуле

Задание 5. Вычислить массу стержня на отрезке от 0 до 2, если его плотность задаётся функцией (слайд 19)

Решение:


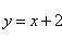
Задание 6. Вычислить площадь фигуры, ограниченной линиями .

 

Решение.

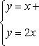
Находим точки пересечения заданных линий. Для этого решаем систему уравнений:

Для нахождения абсцисс точек пересечения заданных линий решаем уравнение:

или .

Находим: x 1 = -2, x 2 = 4.

Итак, данные линии, представляющие собой параболу и прямую, пересекаются в точках A (-2; 0), B (4; 6).

Эти линии образуют замкнутую фигуру, площадь которой вычисляем по указанной выше формуле:

По формуле Ньютона-Лейбница находим:

 

 







Date: 2015-09-18; view: 383; Нарушение авторских прав



mydocx.ru - 2015-2026 year. (0.418 sec.) Все материалы представленные на сайте исключительно с целью ознакомления читателями и не преследуют коммерческих целей или нарушение авторских прав - Пожаловаться на публикацию