Главная Случайная страница


Полезное:

Как сделать разговор полезным и приятным Как сделать объемную звезду своими руками Как сделать то, что делать не хочется? Как сделать погремушку Как сделать так чтобы женщины сами знакомились с вами Как сделать идею коммерческой Как сделать хорошую растяжку ног? Как сделать наш разум здоровым? Как сделать, чтобы люди обманывали меньше Вопрос 4. Как сделать так, чтобы вас уважали и ценили? Как сделать лучше себе и другим людям Как сделать свидание интересным?


Категории:

АрхитектураАстрономияБиологияГеографияГеологияИнформатикаИскусствоИсторияКулинарияКультураМаркетингМатематикаМедицинаМенеджментОхрана трудаПравоПроизводствоПсихологияРелигияСоциологияСпортТехникаФизикаФилософияХимияЭкологияЭкономикаЭлектроника






Расчет плиты перекрытия по прочности нормальных сечений





Ширина ребра плиты назначается в зависимости от пролета и нагрузки. Чем больше пролет и нагрузка на плиту, тем больше ширина ребра

при расчете плиты перекрытия мы выполняем следующие 4 расчёта

1) расчёт плиты перекрытия по прочности нормальных сечений

2) Расчет плиты перекрытия по сечению наклонному к продольной оси элемента при действии поперечной силы

3) Расчет полки плиты на местный изгиб

4) Расчет плиты перекрытия на монтажную нагрузку

 

(1) расчёт плиты перекрытия по прочности нормальных сечений

Основной расчет плиты перекрытия по первой группе предельных состояний (по прочности) сводится к определению необходимой площади сечения растянутой арматуры от эксплуатационных нагрузок. Расчет плиты перекрытия необходимо выполнять на максимальное значение изгибающего момента, возникающего в середине пролета

Плита перекрытия имеет П-образное сечение для выполнения расчета его необходимо преобразовать в тавровое сечение.

Определяем прохождение границ сжатой зоны, далее устанавливаем продольную арматуру.

(2) Расчет плиты перекрытия по сечению наклонному к продольной оси элемента при действии поперечной силы

Расчет плиты перекрытия по сечению наклонному к продольной оси элемента выполняется на полную эксплуатационную нагрузку. Расчетная схема плиты перекрытия

При расчете плиты по сечению наклонному к продольной оси элемента все внешнее воздействие, усилие Q, воспринимают ребра плиты, то есть расчетным сечением является прямоугольник с шириной b.

(3) Расчет полки плиты на местный изгиб

В проекте рассматривается ребристая плита перекрытия только с продольными ребрами. Продольные ребра плиты перекрытия соединяются между собой полкой Полка плиты является изгибаемым элементом, закрепленным в ребрах плиты. Необходимо рассчитать полку плиты и определить необходимую арматуру в ней для обеспечения ее прочности

Расчет выполняется в следующем порядке. Определяется требуемое значение арматуры в середине пролета по моменту М1, а затем точно такая же арматура устанавливается на опорах.

Расчет нагрузки действующей на полку плиты перекрытия лучше всего определять по таблице

(4) Расчет плиты перекрытия на монтажную нагрузку

Кроме расчета плиты перекрытия на эксплуатационные нагрузки их необходимо рассчитывать на нагрузки, возникающие при изготовлении и транспортировке.

при подъеме плиты перекрытия в верхней зоне плиты перекрытия появляются растягивающие напряжения и как следствие необходимо подобрать арматуру в верхнею зону плиты.

Плиту перекрытия поднимают за петли, установленные на расстоянии приблизительно 0,2×lп.

 

23 Расчет ригеля выполняется по следующим пунктам

Нормативное значение нагрузки от собственного веса ригеля определяется по формуле:, где - масса ригеля в тоннах; lр –длина ригеля в м; L – расстояние между ригеля в осях по конструктивной схеме перекрытия, м.

Нагрузка q указанная на расчетной схеме определяется по формуле: Расчетная длина ригеля равняется расстоянию между серединами площадок опирания.

Расчет ригеля по нормальному сечению необходимо выполнять на максимальное значение изгибающего момента возникающего в середине пролета.

Сечение ригеля имеет тавровый вид при этом полки находятся в растянутой зоне. Следовательно данное сечение необходимо рассчитывать как прямоугольное с шириной сечения равного b.

Рисунок 2.3.3 – Расчетное сечение ригеля

При расчете ригеля лучше учесть арматуру в сжатой зоне. Это уменьшит размеры сечения ригеля. Задаемся конструктивной арматурой в сжатой зоне – не менее двух стержней диаметром 10мм.При расчете изгибаемого элемента с двойной арматурой несущая способность элемента Mult, складывается из момента воспринимаемого сжатым бетоном Mb, и воспринимаемого сжатой арматурой.

. где,, где - граничное значение сжатой высоты зоны, определяется по формуле

, значение определяется по таблице.Если Mb<M следовательно сжатого бетона недостаточно, необходимо установить арматуру в сжатой зоне больше конструктивной.Определяем какую часть внешнего изгибающего M должна восприниматься сжатой арматурой: и тогда требуемая площадь сжатой арматуры определяется по формуле:, Подбираем диаметр сжатой арматуры при двух или трех стержнях так, чтобы было больше и тогда требуемая площадь растянутой арматуры равняется:. По подбирается количество и диаметр арматуры, так чтобы было больше Диаметр стержней желательно применять не более 32мм. В растянутой зоне количество стержней может быть 4, 6 или 8. Схема размещения приведена на рисунке


После подбора арматуры необходимо выполнить проверки возможности ее размещения и достаточности прочности.Далее необходимо окончательно проверить несущую способность сечения с учетом подобранной арматуры.Несущая способность сечения равняется:,где При этом если, значение принимают равным.Если больше М прочность сечения достаточна, в противном случае необходимо увеличить Аs и снова проверить прочность сечения.Далее необходимо проверить минимальный процент армирования и допустимость размещения арматуры. 5.Свойства и работа строительных сталей.

 

24 Колонны среднего ряда воспринимают только вертикальные нагрузки. Вертикальная сила N на колонну действует только со случайным эксцентриситетом ea. Значение ea принимается большим из трех величин: h/30, l0 /600 и 10 мм (где h — высота сечения колонны, l0 - расчетная длина). Поскольку случайный эксцентриситет может быть и справа, и слева от оси, армирование колонны принимается симметричным: Аs = Аs'. В качестве основной арматуры колонны необходимо применять арматуру А300 или А400, в качестве поперечных стержней арматуру В500.

Расчетная длина колонны первого этажа l0 определяется по формуле l0=0,7×Hк. Высоту колонны Hк можно принять равной высоте этажа Hэ.

Для элементов прямоугольного сечения при расчетной длине l0 < 20 h и симметричной арматуре расчет на внецентренное сжатие со случайным эксцентриситетом допускается выполнять из условия:

/2.4.1/

где Nult - предельное значение продольной силы, которую может воспринять элемент, определяемое по формуле:

, /2.4.2/

где As,tot - площадь всей продольной арматуры в сечении элемента,

j - коэффициент определяемый по таблице 5.1 в зависимости от отношений l0/h.

Таблица 2.4.1 – Определение коэффициента j

       
φ 0,92 0,9 0,83 0,7

 

Определим значения действующих усилий в колонне первого этажа. Полное усилие в колонне первого этажа определим по формуле:

/2.4.3/

где nэт – количество этажей здания (определено заданием); B, L – размер сетки колонн, м.

Таблица 2.4.2 – Нагрузка на колонну

Наименование нагрузки Нормативное значение gf Расчетное значение
1 Собственный вес пола (определено в задании) qn1 1,15 q1
2 Собственный вес плиты перекрытия qn2 1,1 q2
3 Собственный вес ригеля , L – расстояние между ригелями в осях qn3 1,1 q3
4 Собственный вес колонны qn4 1,1 q4
5 Временная полная (полезная) qn5 1,2 q5
6 Собственный вес кровли (условно принимается равным собственному весу пола) qn6 1,15 q6
7 Временная снеговая для г.Новосибирска qn7=1,68   q7=2,4

 

Расчет стержня колонны

Для проверки прочности стержня колонны первоначально уточним размеры сечения колонны по формуле.

, /2.4.4/

где - коэффициент армирования сечения, первоначально можно принять равным 0,01; значение коэффициента j - для данной формулы можно принять равным 1.

Для армирования колонн необходимо применять арматуру класса А300 или А400 в зависимости от условий задания.

Размер сечения колонны должен быть не менее чем . В случае если первоначально принятые размеры сечения колонны недостаточны, необходимо назначить новые размеры сечения, удовлетворяющие принятым требованиям, при этом размеры сечения должны быть кратны 50мм.


Требуемое значение площади арматуры можно определить по формуле:

/2.4.5/

Для армирования колонны рекомендуется применять 4, 6 или 8 стержней.

Далее необходимо проверить конструктивные требования при армировании сечения.

Коэффициент армирования в процентах должен быть не менее 0,1 % - при и 0,25 % - при ). При этом минимально допустимое армирование составляет четыре стержня диаметром 12мм.

Существует оптимальный процент армирования сечения колонн равный 1¸2%, при котором наиболее полно используется сечение колонны.

Если все конструктивные требования выполняются необходимо окончательно выполнить проверку прочности сечения. В противном случае необходимо заново подобрать сечение колонны и подобрать арматуры.

Окончательная проверка прочности сечения колонны выполняется по формуле:

/2.4.6/

Так как в колонне действуют только продольные усилия, то есть отсутствует поперечная сила, то поперечная арматура по расчету не требуется. Поперечная арматура в колонне устанавливается конструктивно в соответствии с требованиями: шаг поперечных стержней не более 15×d и не более 500мм. Диаметр поперечных стержней должны быть не менее чем 0,25×ds, где ds - диаметр продольных стержней. Поперечные стержни устанавливаются для обеспечения продольными стержнями устойчивости, то есть предотвратить боковое выпучивание стержней. Расстояние между продольными стержнями должно быть не более 400мм, в противном случае необходимо устанавливать дополнительные промежуточные вертикальные стержни.

Расчет консоли колонны

Опирание ригеля на колонну осуществляется через короткие скрытые консоли. Общий вид и армирование консоли колонны приведены на рисунке 2.4.1. Так как консоли имеют достаточно малые размеры, то их армирование осуществляется с помощью жесткой арматуры, состоящей из пластин 1, соединенных между собой арматурными стержнями 2, 3, 4, и закладными деталями 5.

На консоли колонны действует сосредоточенное усилие Q от опорной реакции ригеля. Действующее усилие вызывает растяжение в арматурных стержнях 2 и сжатие в пластинах 1.

Рисунок 2.4.1 – Консоль колонны

Усилие действующее в пластине 1 определяется по формуле:

, /2.4.7/

тогда требуемая площадь пластины 1 равняется:

, /2.4.8/

где Ry – расчетное сопротивление стали пластины. Для пластины можно принять сталь С245, тогда Ry=240МПа.

Площадь сечения пластины равняется , где t – толщина пластины.

Высота . /2.4.9/

Требуемая площадь сечения арматурных стержней 2 равняется

, /2.4.10/

где Ns – растягивающие усилие в стержне 2, определяемое по формуле .

Нижние стержни 3 и 4 принимают обычно такого же диаметра, что и стержни 2.


 

 

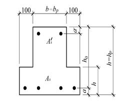
25 Расчет фундамента

Так как фундаменты центрально-нагруженные, то их обычно изготавливают семеричными (подошва имеет квадратную в плане форму).

Количество ступеней назначают в зависимости от высоты фундамента h: при 450мм<h<900мм – две ступени, при h900мм – три ступени. Минимальная высота одной ступени 300мм. Размеры ступеней проектируются такими, чтобы контур фундамента находился снаружи усеченной пирамиды, верхним основанием которой служит опорное сечение колонны, а грани наклонены под углом 45о.

Глубину заложения фундамента условно назначена 1500мм. Вообще глубина заложения для Новосибирска назначается обычно ниже глубины промерзания грунта, равного 2,2м, но так как в проекте необходимо запроектировать фундамент под среднею колонну, то его глубину заложения можно назначать меньше.

Глубина стакана hgl принимается равной , где b – размер сечения колонны. Толщина дна стакана принимается не менее 200мм во избежание ее продавливания в процессе монтажа колонны.

Минимальную площадь подошвы фундамента можно определить по формуле:

,

где Nn – нормативное значение усилия действующего от колонны на фундамент (приблизительно можно принять равным Nn=N/1,15) N – продольное усилие в колонне первого этажа;

– усредненный удельный вес фундамента и грунта на уступах фундамента равный 20кН/м3;

Н0 – глубина заложения фундамента (в курсовом проекте условно принято 1,5м).

Так как для центрально-нагруженных фундаментов предполагается квадратная подошва, тогда минимально допустимый размер фундамента bф можно определить как:

/2.5.2/

При этом размер подошвы фундамента назначают кратно 300мм. Площадь фундамента будет равняться

.

Минимальная высота всего фундамента под сборную колонну по конструктивным соображениям определяется как:

.

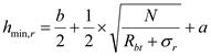
Минимальная высота фундамента из условия среза определяется как:

,

где N – расчетное усилие, действующее на фундамент от колонны;

- интенсивность давления грунта на подошву фундамента определяемая как ;

а – расстояние от грунта до равнодействующей в растянутой арматуре, принимается равной 30…60мм если выполняется подготовка под подошву фундамента и не менее 70мм в случае ее отсутствия.

Высоту фундамента h назначают как большую из и при этом она должна быть кратна 150мм.

Рабочая высота нижней ступени фундамента h1,0 определяется из условия равновесия, где , - внешнее усилие в наиболее опасном сечении, - минимальное усилие воспринимаемое бетонным сечением без поперечного армирования. Разрешив это неравенство относительно , получим, что минимальная рабочая высота первой ступени должна быть:

.

 

26 Стыковые соединения. Сварное соединение - это неразъемное соединение металлических деталей, полученное путем расплавления электрической дугой или пламенем газовой горелки места соединения и наплавления металла (электрода или особого прутка) между кромками в местах соприкосновения деталей, в результате чего в местах соединения получаются сварные швы. В зависимости от взаимного расположения свариваемых деталей различают следующие сварные швы: а) Швы стыковых соединений, обозначаемые буквой С, когда торец одной детали присоединяется к торцу другой (фиг. 491, а).
б) Швы угловых соединений, обозначаемые буквой У, когда деталь присоединяется к другой и образует угол (фиг. 491, б).
в) Швы тавровых соединений, обозначаемые буквой Т, когда деталь присоединяется к другой, образуя фигуру буквы Т (фиг. 491, в).
г) Швы соединений внахлестку, обозначаемые буквой Н, когда кромки свариваемых деталей накладывают одну на другу

 

Расчет сварных стыковых соединений при действии осевой силы прпроодящей через центр тяжести соединения выполняется по формуле где - наименьшая из толщин соединяемых элементов; - расчетная длина шва, равная полной его длине, уменьшенной на , или полной его длине, если концы шва выведены за

пределы стыка (например, на технологические планки, см. рис.4.4, б); - расчетное сопротивление стыковых сварных соединений по пределу текучести (см.СНиП II-23-81*, прил.5); - коэффициент условия работы. Чтобы соединение было равнопрочным основному элементу, длина шва должна быть больше ширины сечения, поэтому в соединении применяются косой шов, который выполняется под углом наклона алфа, в случае когда тангенс альфа больше 0,5 шов считается равнопрочным с основным материалом и не требует проверки на прочность. В противном случае выполняется проверка сварного шва по нормальным и в случае наличия сдвигающей силы Q по касательным напряжениям

27) Тавровые соединения. Сварные соединения

• В зависимости от взаимного расположения свариваемых элементов различают соединения стыковые, нахлесточные, тавровые, угловые.

Наиболее часто встречающимися дефектами сварного соединения являются:

а) подрезы, представляющие собой углубления (канавки) в металле, идущими вдоль границы шва;

б) непровары - отсутствие оплавления между металлом шва и основным металлом.

в) шлаковые (неметаллические) включения – частицы шлака, не успевшие всплыть на поверхность шва до затвердения металла шва;

г) поры – области, заполненные газом, выделяющимся в процессе сварки;

д) горячие трещины – разрушение металла шва при температурах близких

к температурам плавления;

е) холодные трещины наблюдаются после охлаждения сварного соединения

Виды сварных соединений

• По назначению швы могут быть рабочими, подлежащими расчету на прочность, и связующими, назначенными конструктивно.

• Сварные швы могут быть непрерывными и прерывистыми

• По месту изготовления швы делятся на заводские и монтажные.

• По количеству слоев, наложенных при сварке бывают однозаходные и многозаходные сварные швы

• По положению в пространстве различают швы нижние, горизонтальные, вертикальные, потолочные







Date: 2015-09-05; view: 1770; Нарушение авторских прав



mydocx.ru - 2015-2026 year. (0.584 sec.) Все материалы представленные на сайте исключительно с целью ознакомления читателями и не преследуют коммерческих целей или нарушение авторских прав - Пожаловаться на публикацию