Главная Случайная страница


Полезное:

Как сделать разговор полезным и приятным Как сделать объемную звезду своими руками Как сделать то, что делать не хочется? Как сделать погремушку Как сделать так чтобы женщины сами знакомились с вами Как сделать идею коммерческой Как сделать хорошую растяжку ног? Как сделать наш разум здоровым? Как сделать, чтобы люди обманывали меньше Вопрос 4. Как сделать так, чтобы вас уважали и ценили? Как сделать лучше себе и другим людям Как сделать свидание интересным?


Категории:

АрхитектураАстрономияБиологияГеографияГеологияИнформатикаИскусствоИсторияКулинарияКультураМаркетингМатематикаМедицинаМенеджментОхрана трудаПравоПроизводствоПсихологияРелигияСоциологияСпортТехникаФизикаФилософияХимияЭкологияЭкономикаЭлектроника






Правила дифференцирования (доказательство одного из них)





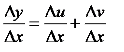
1. Производная алгебраической суммы конечного числа дифференцируемых функций равна такой же сумме производных этих функций.

Убедимся в этом для сум­мы двух функций (для большего числа слагаемых доказательство аналогич­ное).

Пусть ; но тогда . Деля на , имеем .

Отсюда, переходя к пределу при , находим (так как предел сум­мы равен сумме пределов):

или (4.13).

2. Производная произведения двух дифференцируемых функций равна произведению производной первого сомножителя на второй плюс произведение первого сомножителя на производную второго, т.е. .Следствие1. Постоянный множитель можно выносить за знак производной: .Следствие2. Производная произведения нескольких дифференцируемых функций равна сумме произведений производной каждого из сомножителей на все остальные, например: .3. Производная частного двух дифференцируемых функций может быть найдена по формуле: .







Date: 2015-09-05; view: 523; Нарушение авторских прав



mydocx.ru - 2015-2026 year. (1.256 sec.) Все материалы представленные на сайте исключительно с целью ознакомления читателями и не преследуют коммерческих целей или нарушение авторских прав - Пожаловаться на публикацию