Главная Случайная страница


Полезное:

Как сделать разговор полезным и приятным Как сделать объемную звезду своими руками Как сделать то, что делать не хочется? Как сделать погремушку Как сделать так чтобы женщины сами знакомились с вами Как сделать идею коммерческой Как сделать хорошую растяжку ног? Как сделать наш разум здоровым? Как сделать, чтобы люди обманывали меньше Вопрос 4. Как сделать так, чтобы вас уважали и ценили? Как сделать лучше себе и другим людям Как сделать свидание интересным?


Категории:

АрхитектураАстрономияБиологияГеографияГеологияИнформатикаИскусствоИсторияКулинарияКультураМаркетингМатематикаМедицинаМенеджментОхрана трудаПравоПроизводствоПсихологияРелигияСоциологияСпортТехникаФизикаФилософияХимияЭкологияЭкономикаЭлектроника






Нормальное уравнение плоскости в векторной и координатной формах (вывод)





M

 

N

 

x

 

y

 

z

 

0

 

no

 

r

 


Положение плоскости в трехмерном пространстве будет вполне определено, если известно ее расстояние P от начала координат O, т.е. длина перпендикуляра ON, опущенного из точки O на плоскость, и единичный вектор , перпендикулярный к плоскости. По условию, . Для любой точки M(x,y,z), лежащей на плоскости, имеем:

С другой стороны, по определению скалярного произведения двух векторов имеем:

или

(1)

Уравнение (1) называется векторным уравнением плоскости. Одновременно уравнение (1) называется нормальным уравнением плоскости.

Пусть теперь единичный вектор образует с осями координат соответственно углы α, β, γ. Тогда имеет своими координатами направляющие косинусы, т.е. . Далее, вектор . Тогда получим скалярное произведение векторов:

При этом уравнение (1) примет вид:

(2)

Уравнение (1) называется нормальным (нормированным) уравнением плоскости в координатной форме.

Замечание: как и в случае нормального уравнения прямой, в рассматриваемом случае уравнение (2) можно получить, используя теорию проекций.

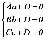
2. Общее уравнение плоскости Уравнение плоскости в отрезках.

M

 

N

 

R

 

x

 

y

 

z

 

0

 

a

 

b

 

c

 


Пусть плоскость не проходит через начало координат, а отсекает от осей координат соответственно отрезки a, b, c. Как видно из рисунка, плоскость проходит через точки M(a,0,0), N(0,b,0) и R(0,0,c). Пусть общее уравнение плоскости имеет вид: Ax + By + Cz + D = 0 (1). Подставим в это уравнение координаты точек M, N и R, получим:

(2)

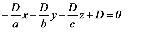
Так как плоскость не проходит через начало координат, то D≠ 0. Так как плоскость отсекает от осей координат ненулевые отрезки, то A≠ 0, B≠ 0, C≠ 0. Тогда из (2) имеем:

Подставив эти значения в уравнение (1), получим: .

Так как D≠0, то все члены последнего равенства можно разделить на (-D). Получим:

или (3)

Уравнение (3) и есть уравнение плоскости в отрезках.

3. Теоремы о пределах (вывод одной из них).

Теорема 1. Для того, чтобы число A было пределом функции f(x) при x®a, необходимо и достаточно, чтобы эта функция была представлена в виде: f(x) = A+a(x), где a(x) – бесконечно малая функция.

Теорема 2. Предел постоянной величины равен самой постоянной.

Теорема 3. Если функция ³0 ( £0) для любых х в некоторой окрестности точки а, кроме быть может самой точки а, и в точке а имеет предел, то

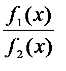
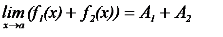
Теорема 4. Если функции и имеют пределы при x®a, то при x®a имеют пределы их сумма + произведение и при условии, то частное причем (1)

(2)

(3)

Доказательство. Ограничимся доказательством формулы (1).

Пусть , тогда по теореме 1:

где

Отсюда

По свойству бесконечно малых (1) α(x) + β(x) – бесконечно малая, следовательно, по теореме (1):

.

Следствие 1. Если функция f(x) имеет предел при x → a, то:

, где n – натуральное число.

Следствие 2. Постоянный множитель можно выносить за знак предела:

, c = const.

Теорема 5. Если для функций f(x), f1(x) и f2(x) в некоторой окружности точки a выполняется неравенство

, и , то .

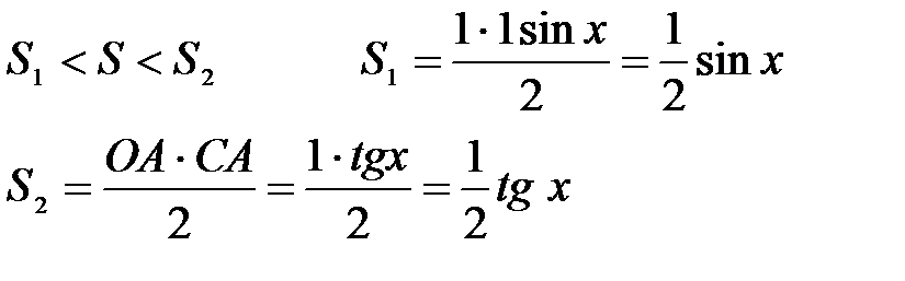
x

 

A

 

y

 

x

 

C

 

B

 

 

 

 

 

 

 


4.Первый замечательный предел (вывод).

Теорема. (раскрывает неопределенность типа ). Доказательство. Возьмем круг единичного радиуса и положим . X – угол выраженный в радианах.

Обозначим площади треугольника ОАВ через– S1, треугольника ОАС – S2, площадь сектора ОАВ – через S.

Неравенство (1) получено для однако cos x и функции четные,т.к. cos (-x) = cos x.

т.е. (1) справедливо и для т.к. , то из (1) на основании теоремы 5 заключаем .

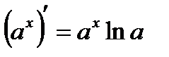
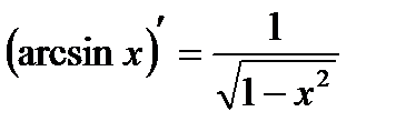
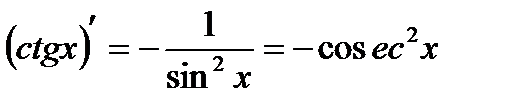
5. Производные элементарных функций (вывод одной из них).

I. Правила дифференцирования II. Формулы дифференцирования
1. 2. 3. , : 1. ; ; 2. 3. ; 4. ; 5. ; 6. ;

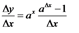
Выведем формулу нахождения производной показательной функции

Придавая аргументу приращение , находим для приращения функции следующее значение:


(1). Делим на : (2)

Переходим к пределу при :

, но . Поэтому (3). Итак

(4). В частности, (5) (так как ).







Date: 2015-09-05; view: 881; Нарушение авторских прав



mydocx.ru - 2015-2026 year. (0.962 sec.) Все материалы представленные на сайте исключительно с целью ознакомления читателями и не преследуют коммерческих целей или нарушение авторских прав - Пожаловаться на публикацию