Главная Случайная страница


Полезное:

Как сделать разговор полезным и приятным Как сделать объемную звезду своими руками Как сделать то, что делать не хочется? Как сделать погремушку Как сделать так чтобы женщины сами знакомились с вами Как сделать идею коммерческой Как сделать хорошую растяжку ног? Как сделать наш разум здоровым? Как сделать, чтобы люди обманывали меньше Вопрос 4. Как сделать так, чтобы вас уважали и ценили? Как сделать лучше себе и другим людям Как сделать свидание интересным?


Категории:

АрхитектураАстрономияБиологияГеографияГеологияИнформатикаИскусствоИсторияКулинарияКультураМаркетингМатематикаМедицинаМенеджментОхрана трудаПравоПроизводствоПсихологияРелигияСоциологияСпортТехникаФизикаФилософияХимияЭкологияЭкономикаЭлектроника






Порядок выполнения работы. 4. 1. Экспериментальная часть





 

4.1. Экспериментальная часть

 

Лабораторная работа состоит из двух заданий. Для выполнения первого задания требуется один стальной шарик; для второго задания – два одинаковых стальных шарика.

Технические данные установки указаны на месте и в конце подраздела 4.1. Значения этих величин в расчётах принять константами.

Измерения выполняются на установке «Механический лоток», принципиальная схема которой показана на рис.3. Основной деталью установки является стальная полоса длиной 204 см, симметрично изогнутая в средней части радиусом R1. На поверхности полосы по всей её длине проточен жёлоб с радиусом R2, предназначенный для катания шариков с радиусом

r ≤ 1,5 см.

Глубина и ширина жёлоба, радиусы R1 и R2, размеры участков, сопряжённых радиусом R1, указаны на схеме установки, имеющейся в лаборатории. Там же указано среднее значение угла наклона плоскостей < α > и погрешность Δ α, так что угол наклона определён в интервале: α = < α > ± Δα.

Изогнутая стальная полоса стационарно закреплена с помощью опор на горизонтальной станине. Вдоль полосы имеется миллиметровая шкала, предназначенная для измерения расстояний от нижней точки изгиба, которая является также нижней точкой спуска при скатывании шарика. Погрешность измерений на шкале (ошибка прибора) равна: Δпр = 0,2 см.

По заданию преподавателя могут быть использованы полосы из других материалов – дерева и пластмассы, которые укладываются инженером на время выполнения работы поверх стальной полосы.

Масса шарика m = (44,15 ±0,05) г, радиус шарика r = (1,105 ±0,002) см, угол наклона жёлоба α = (6,5 ±0,1)о.

 

4.1.1. Экспериментальные задания и обработка результатов

 

Примечание. Количество заданий устанавливает преподаватель. Жёлоб для катания шариков должен быть чистым от пыли и иных загрязнений.

 

Задание № 1. Измерение коэффициента сопротивления качению для стальных шариков.

 

Опыт удобнее выполнять вдвоём, т.к. при этом сокращается время эксперимента. Один участник опыта располагается у правого конца установки, другой – у левого.

Необходимо заранее приготовить таблицу (по форме таблицы 1-1) для записи результатов прямых измерений.

Выполните несколько пробных пусков шарика для тренировки в правильных измерениях по шкале. Расстояния от средней части жёлоба до центра шарика отсчитываются как справа, так и слева в моменты остановок шарика с точностью до десятых долей сантиметра.

Измерения проводятся в следующем порядке:

1) Установите шарик в верхнем положении справа и запишите отсчёт l0 в таблицу 1-1.

2) Отпустите (без толчка) шарик, который катится сначала вниз, затем – вверх и останавливается первый раз. Запишите отсчёт l1 в таблицу 1-1.

3) Шарик катится после первой остановки вниз, затем – вверх и останавливается второй раз. Запишите отсчёт l2 в таблицу 1-1.

4) Шарик продолжает кататься по жёлобу, уменьшая при этом высоту подъёма. Необходимо фиксировать и записывать отсчёты расстояний в течение 10 катаний шарика.

5) После записи отсчёта lN с номером N = 10 остановите шарик. Повторите опыт согласно п.п. 1-4 десять раз, заполняя таблицу 1-1.

Примечание. Для выполнения всего цикла измерений в задании № 1 требуется время, не превышающее 10 минут.

Таблица 1-1

 

l, см Количество измерений, n <l>, см
                   
l0                      
l1                      
l2                      
l3                      
l4                      
l5                      
l6                      
l7                      
l8                      
l9                      
l10                      

 


Данные таблицы 1-1 являются результатами прямых измерений. Обработка этих результатов состоит в расчёте средних значений расстояний и погрешности их измерений. Средние значения < l > занесите в таблицу 1-1.

При вычислении погрешности каждого из десяти значений l1 – l10 учтите случайную статистическую ошибку при доверительной вероятности 0,95 и систематическую ошибку шкалы, равную Δпр = ±0,2 см. Ошибку округления можно не учитывать ввиду её малой величины по сравнению с другими ошибками.

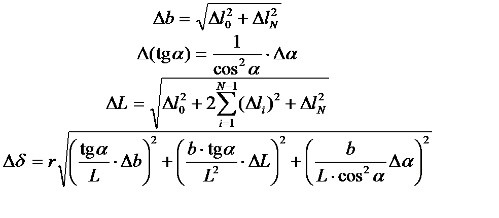
Коэффициент сопротивления качению δ определяется формулой (17), т. е. его величина является результатом косвенного измерения. В формулу (17) подставьте средние значения величин: <b>, <L> и tg<α>.

Средние значения <b> и <L> вычисляются по формулам раздела 3.2 при подстановке в них средних величин < l >, найденных с помощью таблицы 1-1. При вычислении < b>, <L> и tg<α > необходимо сохранять 4-5 значащих цифр (с учётом округления).

Результаты вычислений <b>, <L>, tg<α> и среднего значения коэффициента < δ >, а также погрешностей этих величин занесите в таблицу 1-2. При вычислении погрешностей сохраняйте одну-две значащие цифры.

 

Таблица 1-2

<b>, см Δb, см <L>, см ΔL, см tg<α> Δ(tgα) <δ>, см Δδ, см
               

 

Погрешности вычисляются с помощью формул:

(18)

 

Необходимо провести доказательство вывода формул (18). Здесь значение Δ δ определяет величину доверительного интервала для найденного в опыте коэффициента сопротивления качению:

 

(19)

 

При расчёте погрешностей руководствуйтесь методическим пособием №100.

 







Date: 2015-09-05; view: 474; Нарушение авторских прав



mydocx.ru - 2015-2026 year. (0.788 sec.) Все материалы представленные на сайте исключительно с целью ознакомления читателями и не преследуют коммерческих целей или нарушение авторских прав - Пожаловаться на публикацию