Главная Случайная страница


Полезное:

Как сделать разговор полезным и приятным Как сделать объемную звезду своими руками Как сделать то, что делать не хочется? Как сделать погремушку Как сделать так чтобы женщины сами знакомились с вами Как сделать идею коммерческой Как сделать хорошую растяжку ног? Как сделать наш разум здоровым? Как сделать, чтобы люди обманывали меньше Вопрос 4. Как сделать так, чтобы вас уважали и ценили? Как сделать лучше себе и другим людям Как сделать свидание интересным?


Категории:

АрхитектураАстрономияБиологияГеографияГеологияИнформатикаИскусствоИсторияКулинарияКультураМаркетингМатематикаМедицинаМенеджментОхрана трудаПравоПроизводствоПсихологияРелигияСоциологияСпортТехникаФизикаФилософияХимияЭкологияЭкономикаЭлектроника






Тема № 17. Область сходимости степенного ряда





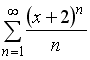
Вопрос № 81: Интервал сходимости степенного ряда имеет вид . Тогда равно …

Введите правильный ответ (время 2 мин): ___________________ (верный ответ: 0)

 

 

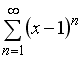
Вопрос № 82: Интервал сходимости степенного ряда имеет вид . Тогда равно …

Введите правильный ответ (время 2 мин): ___________________ (верный ответ: 2)

 

 

Вопрос № 83: Интервал сходимости степенного ряда имеет вид . Тогда равно …

Введите правильный ответ (время 2 мин): ___________________ (верный ответ: 7)

 

 

Вопрос № 84: Интервал сходимости степенного ряда имеет вид . Тогда равно …

Введите правильный ответ (время 2 мин): ___________________ (верный ответ: -4)

 

 

Вопрос № 85: Интервал сходимости степенного ряда имеет вид . Тогда равно …

Введите правильный ответ (время 2 мин): ___________________ (верный ответ: 7)

 

 

Тема № 18. Ряды Тейлора (Маклорена)

Вопрос № 86: Первый отличный от нуля коэффициент разложения функции в ряд Тейлора по степеням равен …

Введите правильный ответ (время 2 мин): ___________________ (верный ответ: 1)

 

 

Вопрос № 87: Первый отличный от нуля коэффициент разложения функции в ряд Тейлора по степеням равен …

Введите правильный ответ (время 2 мин): ___________________ (верный ответ: 3)

 

 

Вопрос № 88: Первый отличный от нуля коэффициент разложения функции в ряд Тейлора по степеням равен …

Введите правильный ответ (время 2 мин): ___________________ (верный ответ: 3)

 

 

Вопрос № 89: Первый отличный от нуля коэффициент разложения функции в ряд Тейлора по степеням равен …

Введите правильный ответ (время 2 мин): ___________________ (верный ответ: 1)

 

 

Вопрос № 90: Первый отличный от нуля коэффициент разложения функции в ряд Тейлора по степеням равен …

Введите правильный ответ (время 2 мин): ___________________ (верный ответ: 1)

 

 







Date: 2015-09-05; view: 520; Нарушение авторских прав



mydocx.ru - 2015-2026 year. (0.796 sec.) Все материалы представленные на сайте исключительно с целью ознакомления читателями и не преследуют коммерческих целей или нарушение авторских прав - Пожаловаться на публикацию