Главная Случайная страница


Полезное:

Как сделать разговор полезным и приятным Как сделать объемную звезду своими руками Как сделать то, что делать не хочется? Как сделать погремушку Как сделать так чтобы женщины сами знакомились с вами Как сделать идею коммерческой Как сделать хорошую растяжку ног? Как сделать наш разум здоровым? Как сделать, чтобы люди обманывали меньше Вопрос 4. Как сделать так, чтобы вас уважали и ценили? Как сделать лучше себе и другим людям Как сделать свидание интересным?


Категории:

АрхитектураАстрономияБиологияГеографияГеологияИнформатикаИскусствоИсторияКулинарияКультураМаркетингМатематикаМедицинаМенеджментОхрана трудаПравоПроизводствоПсихологияРелигияСоциологияСпортТехникаФизикаФилософияХимияЭкологияЭкономикаЭлектроника






Тема № 26. Непрерывная случайная величина





Вопрос № 126: Случайная величина распределена равномерно на интервале . Тогда ее математическое ожидание и дисперсия соответственно равны …

Варианты ответов: (выберите один правильный ответ, время 2 мин)

1. 2 и

2. 4 и

3. 3 и

4. 3 и 1

 

 

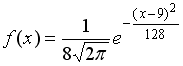
Вопрос № 127: Непрерывная случайная величина X задана плотностью распределения вероятностей .Тогда математическое ожидание этой нормально распределённой случайной величины равно …

Варианты ответов: (выберите один правильный ответ, время 2 мин)

1. 9

2. 64

3. 128

4. 8

 

 

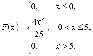
Вопрос № 128: Непрерывная случайная величина Х задана интегральной функцией распределения вероятностей

Тогда значение С равно …

Варианты ответов: (выберите один правильный ответ, время 2 мин)

1. 4

2. 1,5

3. 2

4. 2,5

 

 

Вопрос № 129: Непрерывная случайная величина Х задана интегральной функцией распределения вероятностей

Тогда значение С равно …

Варианты ответов: (выберите один правильный ответ, время 2 мин)

1. 1,2

2. 4

3. 3

4. 2,25

 

 

Вопрос № 130: Случайная величина задана плотностью распределения вероятностей:

Тогда соответствующая функция распределения вероятностей равна …

Варианты ответов: (выберите один правильный ответ, время 2 мин)

1.

2.

3.

4.

 

 







Date: 2015-09-05; view: 885; Нарушение авторских прав



mydocx.ru - 2015-2026 year. (1.069 sec.) Все материалы представленные на сайте исключительно с целью ознакомления читателями и не преследуют коммерческих целей или нарушение авторских прав - Пожаловаться на публикацию