Главная Случайная страница


Полезное:

Как сделать разговор полезным и приятным Как сделать объемную звезду своими руками Как сделать то, что делать не хочется? Как сделать погремушку Как сделать так чтобы женщины сами знакомились с вами Как сделать идею коммерческой Как сделать хорошую растяжку ног? Как сделать наш разум здоровым? Как сделать, чтобы люди обманывали меньше Вопрос 4. Как сделать так, чтобы вас уважали и ценили? Как сделать лучше себе и другим людям Как сделать свидание интересным?


Категории:

АрхитектураАстрономияБиологияГеографияГеологияИнформатикаИскусствоИсторияКулинарияКультураМаркетингМатематикаМедицинаМенеджментОхрана трудаПравоПроизводствоПсихологияРелигияСоциологияСпортТехникаФизикаФилософияХимияЭкологияЭкономикаЭлектроника






Тема № 15. Числовые последовательности





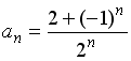
Вопрос № 71: Установите соответствие между числовой последовательностью и формулой ее общего члена

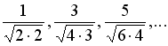
1.

2.

3.

Варианты ответов: (укажите соответствия, время 2 мин)

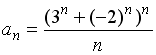
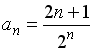
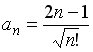
1.

2.

3.

4.

5.

 

 

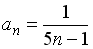
Вопрос № 72: Установите соответствие между числовой последовательностью и формулой ее общего члена

1.

2.

3.

Варианты ответов: (укажите соответствия, время 2 мин)

1.

2.

3.

4.

5.

 

 

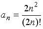
Вопрос № 73: Установите соответствие между числовой последовательностью и формулой ее общего члена

1.

2.

3.

Варианты ответов: (укажите соответствия, время 2 мин)

1.

2.

3.

4.

5.

 

 

Вопрос № 74: Установите соответствие между числовой последовательностью и формулой ее общего члена

1.

2.

3.

Варианты ответов: (укажите соответствия, время 2 мин)

1.

2.

3.

4.

5.

 

 

Вопрос № 75: Установите соответствие между числовой последовательностью и формулой ее общего члена

1.

2.

3.

Варианты ответов: (укажите соответствия, время 2 мин)

1.

2.

3.

4.

5.

 

 







Date: 2015-09-05; view: 1123; Нарушение авторских прав



mydocx.ru - 2015-2026 year. (1.345 sec.) Все материалы представленные на сайте исключительно с целью ознакомления читателями и не преследуют коммерческих целей или нарушение авторских прав - Пожаловаться на публикацию