Главная Случайная страница


Полезное:

Как сделать разговор полезным и приятным Как сделать объемную звезду своими руками Как сделать то, что делать не хочется? Как сделать погремушку Как сделать так чтобы женщины сами знакомились с вами Как сделать идею коммерческой Как сделать хорошую растяжку ног? Как сделать наш разум здоровым? Как сделать, чтобы люди обманывали меньше Вопрос 4. Как сделать так, чтобы вас уважали и ценили? Как сделать лучше себе и другим людям Как сделать свидание интересным?


Категории:

АрхитектураАстрономияБиологияГеографияГеологияИнформатикаИскусствоИсторияКулинарияКультураМаркетингМатематикаМедицинаМенеджментОхрана трудаПравоПроизводствоПсихологияРелигияСоциологияСпортТехникаФизикаФилософияХимияЭкологияЭкономикаЭлектроника






Стереометрия





 

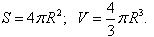
1. Произвольная призма (l – боковое ребро; P – периметр основания; S – площадь основания; H – высота; Pсеч – периметр перпендикулярного сечения; Sбок – площадь боковой поверхности; V - объем): 2. Прямая призма: 3. Прямоугольный параллелепипед (a,b,c – его измерения; V - диагональ): 4. Куб (a - ребро): 5. Произвольная пирамида (S – площадь основания; H – высота; V - объем): 6. Правильная пирамида (P – периметр основания; l – апофема; Sбок – площадь боковой поверхности): 7. Произвольная усеченная пирамида (S1 и S1 – площади оснований; h – высота; V - объем): 8. Правильная усеченная пирамида (P1 и P2 – периметры оснований; l – апофема; Sбок – площадь боковой поверхности): 9. Цилиндр (R – радиус основания; H – высота; Sбок – площадь боковой поверхности; V - объем): 10. Конус (R – радиус основания; H – высота; l – образующая; Sбок – площадь боковой поверхности; V - объем): 11. Шар, сфера (R – радиус шара; S – площадь сферической поверхности; V - объем): 12. Шаровой сегмент (R – радиус шара; h – высота сегмента; S – площадь сферической поверхности сегмента; V - объем): 13. Шаровой сектор (R – радиус шара; h – высота сегмента; V - объем):

 







Date: 2015-09-05; view: 295; Нарушение авторских прав



mydocx.ru - 2015-2026 year. (0.904 sec.) Все материалы представленные на сайте исключительно с целью ознакомления читателями и не преследуют коммерческих целей или нарушение авторских прав - Пожаловаться на публикацию