Главная
Случайная страница
Полезное:
Как сделать разговор полезным и приятным
Как сделать объемную звезду своими руками
Как сделать то, что делать не хочется?
Как сделать погремушку
Как сделать так чтобы женщины сами знакомились с вами
Как сделать идею коммерческой
Как сделать хорошую растяжку ног?
Как сделать наш разум здоровым?
Как сделать, чтобы люди обманывали меньше
Вопрос 4. Как сделать так, чтобы вас уважали и ценили?
Как сделать лучше себе и другим людям
Как сделать свидание интересным?
Категории:
АрхитектураАстрономияБиологияГеографияГеологияИнформатикаИскусствоИсторияКулинарияКультураМаркетингМатематикаМедицинаМенеджментОхрана трудаПравоПроизводствоПсихологияРелигияСоциологияСпортТехникаФизикаФилософияХимияЭкологияЭкономикаЭлектроника
|
Тождественные преобразования алгебраических и тригонометрических выражений
Свойства степеней
Для любых x, y и положительных a и b верны равенства:
Свойства арифметических корней
Для любых натуральных n и k, больших 1, и любых неотрицательных a и b верны равенства:
|
| Многочлены
Для любых a, b и c верны равенства:
| Соотношения между тригонометрическими функциями одного и того же аргумента
(здесь и в дальнейшем запись n є Z означает, что n – любое целое число)
Формулы сложения:
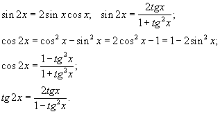
Формулы двойного аргумента:
Формулы тройного аргумента:
Формулы половинного аргумента:
(для функций sin и cos – формулы понижения степени)
Формулы кубов:
Формулы 4-й степени:
Формулы преобразования суммы в произведение:
|
| Формулы преобразования произведения в сумму:
Формула приведения для преобразования выражений вида
а) перед приведенной функцией ставиться тот знак, который имеет исходная функция;
б) функция меняется на «кофункцию», если n нечетно; функция не меняется, если n четно. (Кофункциями синуса, косинуса, тангенса и котангенса называются соответственно косинус, синус, котангенс и тангенс.) Например:
Формулы нахождения угла:
| ТАБЛИЦА ЗНАЧЕНИЙ

Date: 2015-09-05; view: 705; Нарушение авторских прав | Понравилась страница? Лайкни для друзей: |
|
|