Главная Случайная страница


Полезное:

Как сделать разговор полезным и приятным Как сделать объемную звезду своими руками Как сделать то, что делать не хочется? Как сделать погремушку Как сделать так чтобы женщины сами знакомились с вами Как сделать идею коммерческой Как сделать хорошую растяжку ног? Как сделать наш разум здоровым? Как сделать, чтобы люди обманывали меньше Вопрос 4. Как сделать так, чтобы вас уважали и ценили? Как сделать лучше себе и другим людям Как сделать свидание интересным?


Категории:

АрхитектураАстрономияБиологияГеографияГеологияИнформатикаИскусствоИсторияКулинарияКультураМаркетингМатематикаМедицинаМенеджментОхрана трудаПравоПроизводствоПсихологияРелигияСоциологияСпортТехникаФизикаФилософияХимияЭкологияЭкономикаЭлектроника






Координаты и векторы





 

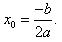
1. Расстояние между точками A1(x1;y1) и A2(x2;y2) находится по формуле: 2. Координаты (x;y) середины отрезка с концами A1(x1;y1) и A2(x2;y2) находится по формулам: 3. Уравнение прямой с угловым коэффициентом и начальной ординатой имеет вид: y = kx + q. Угловой коэффициент k представляет собой значение тангенса угла, образуемого прямой с положительным направлением оси Ox, а начальная ордината q – значение ординаты точки пересечения прямой с осью Oy. 4. Общее уравнение прямой имеет вид: ax + by + c = 0. 5. Уравнения прямых, параллельных соответственно осям Oy и Ox, имеют вид: ax + by + c = 0. 6. Условия параллельности и перпендикулярности прямых y1=kx1+q1 и y2=kx2+q2 соответственно имеют вид: 7. Уравнения окружностей с радиусом R и с центром соответственно в точках O(0;0) и C(xo;yo) имеют вид: 8. Уравнение: представляет собой уравнение параболы с вершиной в точке, абсцисса которой
Прямоугольная декартова система координат в пространстве
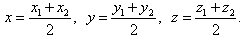
1. Расстояние между точками A1(x1;y1;z1) и A2(x2;y2;z2) находится по формуле: 2. Координаты (x;y;z) середины отрезка с концами A1(x1;y1;z1) и A2(x2;y2;z2) находятся по формулам: 3. Модуль вектора заданного своими координатами, находится по формуле: 4. При сложении векторов их соответствующие координаты складываются, а при умножении вектора на число все его координаты умножаются на это число, т.е. справедливы формулы: 5. Единичный вектор сонаправленный с вектором находится по формуле: 6. Скалярным произведением векторов называется число: где - угол между векторами. 7. Скалярное произведение векторов 8. Косинус угла между векторами и находится по формуле: 9. Необходимое и достаточное условие перпендикулярности векторов и имеет вид: 10. Общее уравнение плоскости, перпендикулярной вектору имеет вид: ax + by + cz + d = 0. 11. Уравнение плоскости, перпендикулярной вектору и проходящей через точку (xo;yo;zo), имеет вид: a(x - xo) + b(y - yo) + c(z - zo) = 0. 12. Уравнение сферы с центром O(0;0;0) записывается в виде:

 







Date: 2015-09-05; view: 337; Нарушение авторских прав



mydocx.ru - 2015-2026 year. (0.873 sec.) Все материалы представленные на сайте исключительно с целью ознакомления читателями и не преследуют коммерческих целей или нарушение авторских прав - Пожаловаться на публикацию