Главная Случайная страница


Полезное:

Как сделать разговор полезным и приятным Как сделать объемную звезду своими руками Как сделать то, что делать не хочется? Как сделать погремушку Как сделать так чтобы женщины сами знакомились с вами Как сделать идею коммерческой Как сделать хорошую растяжку ног? Как сделать наш разум здоровым? Как сделать, чтобы люди обманывали меньше Вопрос 4. Как сделать так, чтобы вас уважали и ценили? Как сделать лучше себе и другим людям Как сделать свидание интересным?


Категории:

АрхитектураАстрономияБиологияГеографияГеологияИнформатикаИскусствоИсторияКулинарияКультураМаркетингМатематикаМедицинаМенеджментОхрана трудаПравоПроизводствоПсихологияРелигияСоциологияСпортТехникаФизикаФилософияХимияЭкологияЭкономикаЭлектроника






Определение уравновешивающего момента методом Рычага Жуковского

В основе метода лежит Теорема Жуковского:

Мощность силы, приложенной в какой то точке звена равна ее моменту относительно полюса плана скоростей, повернутого на 900.

Ni=Fi∙Vi∙cosα=Fi∙hi=Mi относительно p ┴ 900.

План скоростей повернутый на 900 принимается за жесткий рычаг и называется Рычагом Жуковского.

Этот рычаг находится в равновесии если к нему приложена уравновешивающая сила.

 

 

Для кривошипго-ползунного механизма построим рычаг Жуковского

Переносим все силы с плана механизма на рычаг параллельно самим себе:

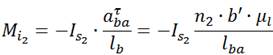
К рычагу Жуковского прикладывается так называемый момент со штрихом Mi2

 

 

Для того, чтобы рычаг находился в состоянии равновесия, приложим к нему уравновешивающую силу

Запишем сумму моментов относительно полюса

 

Мур=Fур∙lОА [H∙м]



<== предыдущая | следующая ==>
Самостійна робота № 27 | Метод проекций





Date: 2015-09-05; view: 1442; Нарушение авторских прав



mydocx.ru - 2015-2026 year. (1.183 sec.) Все материалы представленные на сайте исключительно с целью ознакомления читателями и не преследуют коммерческих целей или нарушение авторских прав - Пожаловаться на публикацию