Главная Случайная страница


Полезное:

Как сделать разговор полезным и приятным Как сделать объемную звезду своими руками Как сделать то, что делать не хочется? Как сделать погремушку Как сделать так чтобы женщины сами знакомились с вами Как сделать идею коммерческой Как сделать хорошую растяжку ног? Как сделать наш разум здоровым? Как сделать, чтобы люди обманывали меньше Вопрос 4. Как сделать так, чтобы вас уважали и ценили? Как сделать лучше себе и другим людям Как сделать свидание интересным?


Категории:

АрхитектураАстрономияБиологияГеографияГеологияИнформатикаИскусствоИсторияКулинарияКультураМаркетингМатематикаМедицинаМенеджментОхрана трудаПравоПроизводствоПсихологияРелигияСоциологияСпортТехникаФизикаФилософияХимияЭкологияЭкономикаЭлектроника






Релятивистские эффекты





Под релятивистскими эффектами в теории относительности понимают изменения пространственно-временных характеристик тел при скоростях, соизмеримых со скоростью света.

В качестве примера обычно рассматривается космический корабль типа фотонной ракеты, который летит в космосе со скоростью, соизмеримой со скоростью света. При этом неподвижный наблюдатель может заметить три релятивистских эффекта:

1. Увеличение массы по сравнению с массой покоя. С ростом скорости растет и масса. Если бы тело могло двигаться со скоростью света, то его масса возросла бы до бесконечности, что невозможно. Эйнштейн доказал, что масса тела есть мера содержащейся в ней энергии (E= mc2). Сообщить телу бесконечную энергию невозможно.

2. Сокращение линейных размеров тела в направлении его движения. Чем больше будет скорость космического корабля, пролетающего мимо неподвижного наблюдателя, и чем ближе она будет к скорости света, тем меньше будут размеры этого корабля для неподвижного наблюдателя. При достижении кораблем скорости света его наблюдаемая длина будет равна нулю, чего быть не может. На самом же корабле космонавты этих изменений не будут наблюдать. 3. Замедление времени. В космическом корабле, движущемся со скоростью, близкой к скорости света, время течет медленнее, чем у неподвижного наблюдателя.

Эффект замедления времени сказался бы не только на часах внутри корабля, но и на всех процессах, протекающих на нем, а также на биологических ритмах космонавтов. Однако фотонную ракету нельзя рассматривать как инерциальную систему, ибо она во время разгона и торможения движется с ускорением (а не равномерно и прямолинейно).

В теории относительности предложены принципиально новые оценки пространственно-временных отношений между физическими объектами. В классической физике при переходе от одной инерциальной системы (№ 1) к другой (№ 2) время остается тем же – t2 = tL а пространственная координата изменяется по уравнению x2 = x1– vt. В теории относительности применяются так называемые преобразования Лоренца:

Из отношений видно, что пространственные и временные координаты зависят друг от друга. Что касается сокращения длины в направлении движения, то

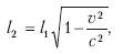
а ход времени замедляется:

В 1971 г. в США был поставлен эксперимент по определению замедления времени. Изготовили двое совершенно одинаковых точных часов. Одни часы оставались на земле, а другие помещались в самолет, который летал вокруг Земли. Самолет, летящий по круговой траектории вокруг Земли, движется с некоторых ускорением, и значит, часы на борту самолета находятся в другой ситуации по сравнению с часами, покоящимися на земле. В соответствии с законами теории относительности часы-путешественники должны были отстать от покоящихся на 184 нс, а на самом деле отставание составило 203 нс. Были и другие эксперименты, в которых проверялся эффект замедления времени, и все они подтвердили факт замедления. Таким образом, разное течение времени в системах координат, движущихся относительно друг друга равномерно и прямолинейно, является непреложным экспериментально установленным фактом.

 







Date: 2015-09-18; view: 501; Нарушение авторских прав



mydocx.ru - 2015-2026 year. (0.336 sec.) Все материалы представленные на сайте исключительно с целью ознакомления читателями и не преследуют коммерческих целей или нарушение авторских прав - Пожаловаться на публикацию