Главная Случайная страница


Полезное:

Как сделать разговор полезным и приятным Как сделать объемную звезду своими руками Как сделать то, что делать не хочется? Как сделать погремушку Как сделать так чтобы женщины сами знакомились с вами Как сделать идею коммерческой Как сделать хорошую растяжку ног? Как сделать наш разум здоровым? Как сделать, чтобы люди обманывали меньше Вопрос 4. Как сделать так, чтобы вас уважали и ценили? Как сделать лучше себе и другим людям Как сделать свидание интересным?


Категории:

АрхитектураАстрономияБиологияГеографияГеологияИнформатикаИскусствоИсторияКулинарияКультураМаркетингМатематикаМедицинаМенеджментОхрана трудаПравоПроизводствоПсихологияРелигияСоциологияСпортТехникаФизикаФилософияХимияЭкологияЭкономикаЭлектроника






Два постулата Эйнштейна в СТО





Для описания физических явлений Галилей ввел понятие инерциальной системы. В такой системе тело, на которое не действует какая-либо сила, находится в покое или в состоянии равномерного прямолинейного движения. Законы, описывающие механическое движение, в различных инерциальных системах одинаково справедливы, то есть не изменяются при переходе от одной системы координат к другой. Например, если пассажир идет в движущемся вагоне поезда в направлении его движения со скоростью v1 = 4 км/ч, а поезд движется со скоростью v2 = 46 км/ч, то скорость пассажира относительно железнодорожного полотна будет = v1 + v2 = 50 км/ч, то есть здесь имеется сложение скоростей. По «здравому смыслу» это незыблемый факт:

vΣ = v1 + v2

Однако в мире больших скоростей, соизмеримых со скоростью света, указанная формула сложения скоростей просто неверна. В природе свет распространяется со скоростью с = 300 000 км/с независимо от того, в какую сторону по отношению к наблюдателю движется источник света.

В 1905 г. в немецком научном журнале «Анналы физики» 26-летний Альберт Эйнштейн опубликовал статью «Об электродинамике движущихся тел». В этой статье он сформулировал два знаменитых постулата, которые легли в основание частной, или специальной, теории относительности (СТО), изменившей классические представления о пространстве и времени.

В первом постулате Эйнштейн развил классический принцип относительности Галилея. Он показал, что этот принцип является всеобщим, в том числе и для электродинамики (а не только для механических систем). Это положение не было однозначным, так как потребовалось отказаться от ньютоновского дальнодействия.

Обобщенный принцип относительности Эйнштейна утверждает, что никакими физическими опытами (механическими и электромагнитными) внутри данной системы отсчета нельзя установить, движется эта система равномерно или покоится. При этом пространство и время являются связанными друг с другом, зависящими друг от друга (у Галилея и Ньютона пространство и время независимы друг от друга).

Второй постулат специальной теории относительности Эйнштейн предложил после анализа электродинамики Максвелла – это принцип постоянства скорости света в вакууме, которая примерно равна 300 000 км/с.

Скорость света – это самая большая скорость в нашей Вселенной. Больше скорости 300 000 км/с в окружающем нас мире быть не может.

В современных ускорителях микрочастицы разгоняются до огромных скоростей. Например, электрон разгоняется до скорости vе = 0,9999999 С, где vе, С – скорости электрона и света соответственно. При этом, с точки зрения наблюдателя, масса электрона возрастает в 2500 раз:


Здесь me0 – масса покоя электрона, me – масса электрона на скорости ve.

Достичь скорости света электрон не может Однако существуют микрочастицы, которые имеют скорость света, их называют «люксоны».

К ним относятся фотоны и нейтрино. У них практически нет массы покоя, их нельзя затормозить, они всегда движутся со скоростью света с. Все остальные микрочастицы (тардионы) движутся со скоростями меньше скорости света. Микрочастицы, у которых скорость движения могла бы быть больше скорости света, называют тахионами. Таких частиц в нашем реальном мире нет.

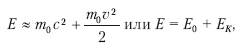
Исключительно важным результатом теории относительности является выявление связи между энергией и массой тела. При малых скоростях


где E = m0c 2– энергия покоя частицы с массой покоя m 0EK – кинетическая энергия движущейся частицы.

Огромным достижением теории относительности является установленный ею факт эквивалентности массы и энергии (E = m0 c 2). Однако речь идет не о превращении массы в энергию и наоборот, а о том, что превращение энергии из одного вида в другой соответствует переходу массы из одной формы в другую. Энергию нельзя заменить массой, так как энергия характеризует способность тела выполнять работу, а масса – меру инерции.

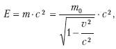
При скоростях релятивистских, близких к скорости света:


где E – энергия, m – масса частицы, m – масса покоя частицы, с – скорость света в вакууме.

Из приведенной формулы видно, что для достижения скорости света частице нужно сообщить бесконечно большую энергию. Для фотонов и нейтрино эта формула несправедлива, так как у них v = c.

 







Date: 2015-09-18; view: 498; Нарушение авторских прав



mydocx.ru - 2015-2026 year. (0.988 sec.) Все материалы представленные на сайте исключительно с целью ознакомления читателями и не преследуют коммерческих целей или нарушение авторских прав - Пожаловаться на публикацию