Главная Случайная страница


Полезное:

Как сделать разговор полезным и приятным Как сделать объемную звезду своими руками Как сделать то, что делать не хочется? Как сделать погремушку Как сделать так чтобы женщины сами знакомились с вами Как сделать идею коммерческой Как сделать хорошую растяжку ног? Как сделать наш разум здоровым? Как сделать, чтобы люди обманывали меньше Вопрос 4. Как сделать так, чтобы вас уважали и ценили? Как сделать лучше себе и другим людям Как сделать свидание интересным?


Категории:

АрхитектураАстрономияБиологияГеографияГеологияИнформатикаИскусствоИсторияКулинарияКультураМаркетингМатематикаМедицинаМенеджментОхрана трудаПравоПроизводствоПсихологияРелигияСоциологияСпортТехникаФизикаФилософияХимияЭкологияЭкономикаЭлектроника






Гідравлічний розрахунок системи опалення





 

При розрахунку системи опалення по заданому витраті теплоносія (води) і розташовується циркуляційного тиску необхідно визначити діаметри мережі теплопроводів (трубопроводів). Розглянемо основні положення розрахунку однотрубних вертикальних індустріальних систем водяного опалення з зустрічним рухом теплоносія.Розрахунок систем з попутним рухом теплоносія викладено в [5].

Кількість циркуляційних контурів в однотрубних системах дорівнює кількості стояків.

На аксонометричній схемі системи опалення виділяють основний циркуляційний контур. У тупикових системах - це послідовно з'єднані ділянки, по яких теплоносій переміщається від індивідуального теплового пункту по розподільної магістралі до самого віддаленого стояка і по збірній магістралі - до індивідуального теплового пункту (елеваторна вузла). Основний циркуляційний контур поділяють на дільниці; вузли розгалужень ділянок нумерують; стояк приймають за одну ділянку.

На схемі для кожної ділянки вказують теплове навантаження Qуч і довжину lуч. Теплове навантаження - це кількість теплоти, що транспортується або відданої проходять по ділянці теплоносієм (теплове навантаження ділянки дорівнює втрат теплоти приміщеннями, які обслуговує даний ділянка).

Розрахунок системи опалення починають з визначення наявного циркуляційного тиску після ІТП (елеватора), ПА:

 

Δpц = Δрн + БΔрпр (2.11)

де Δpн - насосне тиск після елеватора (призначено в завданні або може бути прийнято рівним 1000 Па);

Б - поправочний коефіцієнт, що враховує вплив зміни природного тиску Δpпр при центральному якісному регулюванні на гідравлічний режим системи опалення; в однотрубних системах з верхнім розташуванням розподільних магістралей Б = 1,0, з нижнім Б = 0,4.

Природне тиск за рахунок охолодження води в опалювальних приладах, Па:

- У системах опалення з верхнім розташуванням розподільної магістралі

 

pпр = g [hэn-1r)+…+hэ1r)+ 0r)] (2.12)

 

де g = 9,81 м/с2; hе - висота поверху, м;

ρn-1 , ρ1 - щільність води при вході в опалювальний прилад відповідно (n-1)-го і першого поверху; n - кількість поверхів у будинку;

ρr, ρ0 - щільність води при розрахунковій температурі води відповідно гарячої tr і зворотної to; (щільність води знаходять по пріл.5 в залежності від температури води, визначеної при розрахунку опалювальних приладів.)

- у системах опалення з нижнім розподілом магістралі (у П - подібних системах)

 

pпр = 0,13·g·hэ ·n tсис (2.13)

де Δ tсис визначають за (2).

При гідравлічному розрахунку основного циркуляційного контуру рекомендується залишати запас 5-10% наявного тиску на невраховані розрахунком опору:

А = 100% (2.14)

 

де ΣΔрк - втрати тиску на розрахункових ділянках основного циркуляційного контуру, Па.

Витрата води на розрахункових ділянках визначаємо за (7).

Приступаємо до розрахунку самого віддаленого стояка (Ст.1) і ділянка 1 - 2 і

1 '- 2', які є його продовженням.

Витрата теплоносія, віднесений до швидкості 1м / с, (кг / с,) / (м / с),

 

Gуч / Vуч (2.15)

 

У першому наближенні швидкості води у стояку Vуч приймаємо не менше 0,25 м /с (ця швидкість забезпечує видалення повітря із стояків).

Визначивши витрату теплоносія по (15), по (додаток 6) підбираємо умовний діаметр dу – труби стояка, для якої значення G/v найближче до розрахункового. Гідравлічні характеристики труби: - питомий швидкісний тиск, Па/(кг/с) 2

 

А= (2.16)

 

де ρ – щільність води, кг/м3,

d – внутрішній діаметр труби, м; характеристика опору 1 м труби, Па/(кг/с) 2

 

Sтр = А (2.17)

 

де λ/d - усереднене значення приведеного коефіцієнта тертя, λ – коефіцієнт тертя води об стінки труби.

Розрахункова швидкість води в стояку Ст.1, м/с,

 

Vст1 = Gст/(G/V) (2.18)

Швидкість руху води не повинна перевищувати (по умові безшумності руху) максимальних значень, приведених в прик.10. Повна розрахункова характеристика опору стояка Ст.1, ділянок 1 - 2 та 1' - 2' (далі позначатимемо Sст1). Па/(кг/с) 2

 

cт1 = Sэт.ст nэт.ст + Sр.узл nр.узл + Sтр lтр + Sξ (2.19)

де Sет.ст – характеристика опору поверхостояків (додаток 7);

nет.ст – кількість поверхостояків;

Sр.вузл – характеристика опору радіаторних вузлів верхнього поверху (додаток 7); nр.вузл – кількість радіаторних вузлів;


Sтр – характеристика опору 1м труби (додаток 6);

lтр - загальна довжина прямих ділянок труб, м; Sξ – характеристика опору місцевих опорів, Па/(кг/с) 2

Sξ = A Σξ (2.20)

Σξ – сума коефіцієнтів місцевих опорів на ділянці, що розраховується (додатки 8 і 9); місцевих опорів на кордоні двох ділянок (трійник і тд.) рекомендується включати в ділянку з меншим діаметром. Втрати тиску в Ст.1 і ділянках 1-2 та 1'-2', Па,

 

∆ pст.1 = (2.21)

 

Далі розраховуємо стояк Ст.2. Для стійкої роботи системи опалювання приймаємо циркуляційний тиск, що розташовується, для даного стояка рівним ∆рст.1, тобто:

(2.22)

Порядок виконання розрахунку:

- Приймають діаметри труб поверхостояків;

- Виписують гідравлічні характеристики труби;

- Знаходять витрату води в стояку Ст.2 по (2.7);

- Розраховують швидкість води в стояку Ст.2 по (2.18);

- Порівнюють її з допустимим значенням;

- Визначають характеристику опору, що розташовується, Па/(кг/с) 2

 

(2.23)

Обчислюють розрахункову характеристику опору за (2.19) (третій доданок необхідно виключити); Визначають розбіжність перепадів тиску, що розташовуються і розрахунок перепадів тиску, що рівносильне розбіжності між характеристиками опору, що розташовуються і розраховуються:

 

(2.24)

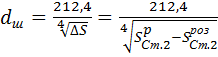
Розбіжність допускається в межах (±15)%. Якщо витримати допустиму розбіжність за рахунок зміни діаметрів труб неможливо, то встановлюють додатковий опір (дросельну шайбу). Діаметр отвору дросельної шайби, мм,

 

(2.25)

Де ∆S – необхідне збільшення характеристики опору стояка або магістралі.

 

 

Для зменшення вірогідності засмічення отвору шайби його діаметр рекомендується приймати не менше 3 мм. Після встановлення дросельної шайби втрати тиску в стояку Ст.2 будуть близькі до втрат тиску в стояку Ст.1. Порядок розрахунку ділянок магістральних трубопроводів 2-3 та 2' - 3': визначають витрату води по (2.7); приймають діаметр труб; виписують гідравлічні характеристики труб (з додатку 6); обчислюють швидкість води на ділянках по (2.18); розраховують характеристику опору ділянок, враховуючи (2.17) і (2.20), Па/(кг/с) 2

 

(2.26)

Знаходять втрати тиску на ділянках по (21) Далі розраховують стояк Ст.3. Розташовується циркуляційний тиск стояка Ст.3,Па

 

(2.27)

 

Подальший розрахунок стояка Ст.3 виконуємо так само, як стояка Ст.2. Ділянки магістралей 3-А і 3'-А' розраховують так само, як ділянок 2-3 і 2'-3'. Визначають вимогу гідравлічної стійкості системи опалювання:

 

(2.28)

 

де ∆pА-Ст.1-А' - втрати тиску в гілці А-Ст.1-А'.

Якщо при першому розрахунку співвідношення (2.28) не задовольняється, то необхідно змінити діаметри магістралей. Загальні магістральні ділянки А-В, А'-В', В- ІТП і В'-ІТП розраховують так само, як ділянки 2-3 та 2'-3'. Розрахунок основного циркуляційного конура вважається завершеним, якщо виконується вимога (2.14).

Приклад. Виконувати гідравлічний розрахунок теплопроводів системи водяного опалювання шестиповерхової цегельної житлової будівлі з непрохідним технічним поверхом і неопалювальним підвалом. Система опалювання приєднана до теплової мережі через елеватор в індивідуальному тепловому пункті (ІТП). У тепломережі температура теплоносіїв гарячого Тг = 105 °С і зворотного Те = 70 °С. Перепад температур теплоносія в системі опалювання ∆ tсис=tг – tо = 105-70 = 35 °C. Опалювальні прилади – чавунні секційні радіатори типа МС-140-108. Система опалювання – проточно – регульована з П - образними стояками (з нижнім розташуванням розподільних магістралей) із зустрічним рухом теплоносія в магістралях (див. рис. 2.4). Насосний тиск ∆pн = 10000 Па. Висота поверху – 2,7 м. Опалювання сходових кліток передбачене повітронагрівачами на перегрітій воді (приєднані до теплової мережі перед елеватором).


Рішення. Основний циркуляційний контур проходить по напрямку руху теплоносія від ІТП через самий віддалений стояк Ст.1 і закінчується в ІТП. Розбиваємо основний циркуляційний контур на ділянки. Вказуємо теплове навантаження і довжину кожної ділянки. Природний тиск в системі опалювання за (2.13)

∆pе = 0,13∙9,81∙2,7∙6∙35 = 723 Па

 

Циркуляційний тиск, що розташовується, по (2.11):

 

∆pц = 10000 + 0,4 ∙723 = 10289 Па

 

Гідравлічний розрахунок починаємо з останнього по ходу руху теплоносія стояка Ст.1 і ділянок 1-2, 1'-2'. Витрату води в стояку Ст.1 за (2.7):

 

= = 0,0462 кг/с

 

Витрата теплоносія, віднесена до швидкості в 1 м/с, за (2.15) (при цьому приймаємо швидкість не менше 0,25 м/с, ця швидкість забезпечує видалення повітря в системі при русі води зверху вниз):

 

= = 0,184 (кг/с)/(м/с)

 

По (додаток 6) підбираємо діаметр стояка Ст.1. Найбільш близьке значення G/V має труба з умовним діаметром 15 мм. З (додаток 6) виписуємо гідравлічні характеристики труби: dу =15 мм, А =1,373•104 Па/(кг/с) 2 λ/d= 2,7 м- 1 , G/V=0,192 (кг/с)/(м/с). Розрахунок швидкості води в Ст.1 по (2.18):

 

Vст1 = 0,462:0,192 = 0,24 м/с

 

Що не перевищує доступного значення швидкості по умові безшумності руху води в трубах (за додатком 10). Розрахункова характеристика опору стояка Ст.1 і участків1-2,1' -2' трубопроводів, що є продовженням цього стояка в підвалі, за (2.19): -десять вертикальних проточно-регульованих поверхостояків висотою 2,7м (додаток 7):

Sэт.ст = 17,7 ∙104 ∙10 = 177,0 ∙104 Па/(кг/с)2

-два радіаторні вузли верхнього поверху (додаток 7):

 

Sр.уз= 6,39∙104∙2 = 12,78∙104 Па/(кг/с)2

 

-прямі ділянки труб: dу =15мм, горизонтальна ділянка на шостому поверсі – 5,5м, два опускна в підвал - 2•1,0 = 2 м, ділянки 1-2 та 1' -2', що є продовженням стояка Ст.1 – 13 м, загальна довжина – 20,5 м (додаток 6):

 

Sтр= 3,674∙104 ∙20,5 = 75,32∙104 Па/(кг/с)2

 

-місцеві опори (додатки 8 та 9): вентиль на розподільній магістралі ξ =16, пробковий кран на збірній магістралі ξ = 3,5, відведення гнуті 90° (4 шт.) 1,5∙4 = 6,0, відступи на приєднанні стояка Ст.1 до магістралі (2 шт.) 0,8∙2 =1,6, трійник на прохід на розподільній магістралі ξ = 0,3 при діленні потоків


 

Gпрх/Gобщ = 0,0462:0,0703 = 0,66

 

трійник на прохід на збірній магістралі ξ = 1,5 при злитті потоків

 

Gпрх/Gобщ =0,66

Тоді Σξ= 16+ 3,5+ 6+ 1,6+0,3+ 1,5 = 28,9

Характеристика опору місцевих опорів по (2.20)

 

Sξ = 28,9 ∙1,373∙104 = 39,68∙104 Па/(кг/с)2

Повна розрахункова характеристика опору стояка Ст.1 і ділянок 1-2 та 1′-2′ по (2.19)

= (177,0+12,78+75,32+39,68)∙ 104 = 304,78∙104 Па/(кг/с)2

Втрати тиску в стояку Ст.1 і ділянках 1-2 і 1′- 2′ по (2.21)

 

∆ pст.1 = = 304,78 ∙ 104 ∙∙ 0,4622 = 6505,2 Па

 

Переходимо до розрахунків стояка Ст.2: у ньому циркуляційний тиск, що розташовується, дорівнює втраті тиску в стояку Ст.1

 

= 6505,2 Па

 

Витрати води в стояку Ст.2 по (2.7)

 

= = 0,0241 кг/с

 

Діаметр труб поверхостояків і опускній частині стояка Ст.2 приймаємо рівним 15 мм. Гідравлічні характеристики труби такого діаметру:

 

А=1,373 ∙104 Па/(кг/с)2, λ/d= 2,7 м-1, G/V=0,192 (кг/с)/(м/с)

 

Розрахункова швидкість води в стояку Ст.2 за (2.18)

 

Vст2 = 0,0241:0,192 = 0,126 м/с

 

Характеристика опору стояка Ст.2, що розташовується, за (2.23)

 

= 1120,02 ∙ 104 Па/(кг/с)2

Характеристика опору стояка Ст.2: п'ять поверхостояків

 

Sэт.ст = 17,7 ∙104 ∙10∙5 = 88,5 ∙104 Па/(кг/с)2

 

один радіаторний вузол верхнього поверху

 

Sр.узл= 6,39∙104∙2 = 12,78∙104Па/(кг/с)2

 

прямі ділянки труб стояка: горизонтальна ділянка на шостому поверсі - 0,5 м, опускна частина стояка - 2,7 ∙ 5 = 13,5 м, загальна довжина 0,5+13,5 = 14 м.

 

Тоді: Sтр= S∙14 = 3,674∙104 ∙14 = 51,44∙104 Па/(кг/с)2

 

приєднання до розподільної магістралі при нижньому розташуванні (додаток 8) - 33,3∙104 Па/(кг/с)2; приєднання до збірної магістралі - 10,89∙104 Па/(кг/с)2; всього (33,3 10,89)∙ 104 = 44,19∙104 Па/(кг/с)2

Повна розрахункова характеристика опору стояка Ст.2 за (2.19)

 

= (88,5+6,39+51,44+44,19) ∙104=190,52∙104 Па/(кг/с)2

 

За (2.24) знаходимо розбіжність (нев'язку) розташованого та розрахункового перепаду тиску в стояку Ст.2, що рівносильне розбіжності між тією, що розташовується і розраховується характеристиками опору стояка Ст.2

 

 

Розбіжність HСт.2 перевищує допустиме значення (±15%) на 83-15=68%. Необхідно збільшити опір стояка Ст.2. Для цього на його підключенні до розподільної магістралі встановлюємо додатковий опір - дросельну шайбу. Діаметр дросельної шайби за (2.25)

 

 

При установці на стояку Ст.2 дросельної шайби діаметром 3,8 мм розрахункова характеристика опору стояка Ст.2 дорівнюватиме характеристиці опору стояка Ст.2, що розташовується. Втрати тиску в цьому стояку за (2.21)

 

∆ pст.2 = 1120∙104 ∙0,02412 = 6505,2 Па

 

Розраховуємо ділянки магістральних ділянок 2-3 і 2′- 3′.Витрата теплоносія за (2.7)

G2-3 = G2-3′ = = 0,0703 кг/с

 

Приймаємо діаметри труб ділянок dу = 20 мм. Гідравлічні характеристики труб: А = 0,413 ∙104 Па/(кг/с), λ/d = 1,8 м-1, G/V = 0,348 (кг/с)/(м/с), S = 0,755 Па/(кг/с)2.

 

Розрахункова швидкість води на ділянках за (2.18)

 

V = 0,0703: 0,348 = 0,20 м/с

 

Характеристика опору ділянки 2-3 розподільної магістралі за (2.26)

 

=(1,8∙6+0,5+4) ∙0,413∙104= 6,32∙104 Па/(кг/с)2

 

де l = 6м, ξпрх = 0,5,

Gпрх/Gобщ = 0,0703: 0,1254 = 0,56 (додаток 9);

ξ = 1∙4 - к. м. с чотирьох відведень 90° гнутих (додаток 8) діаметром 20 мм.

Втрати тиску на ділянці 2-3 за (2.21)

 

∆ p2-3 = 6,32 ∙ 104 ∙ 0,07032 = 312,3 Па

 

Характеристика опору ділянки 2′- 3′ по (2.26)

 

=(1,8 ∙5,5 + 3,0 + 4,0) ∙ 0,413 ∙ 104 = 6,98 ∙ 104 Па/(кг/с)2

 

де l = 5,5м, ξпрх = 3,0 - к. м. с. трійника на прохід в місці приєднання стояка Ст.3 до збірної магістралі при Gпрх/Gобщ = 0,56 ξ = 1∙4= 4 - к. м. с чотирьох відведень 90° гнутих.

Втрати тиску на ділянці 2′- 3′ за (2.21)

 

∆ p2′-3′ = 6,98 ∙ 104∙ 0,07032 = 344,9 Па

 

Розраховуємо стояк Ст.3. циркуляційний тиск, що Розташовується, в нім знаходимо як суму втрат тиску стояка Ст.1 і ділянок 2-3 і 2′- 3′ по (2.27):

 

∆ pст.3 = 6505+2+312,3+344,9 = 7162,4 Па

 

Подальший розрахунок стояка Ст.3 виконуємо аналогічно розрахунку стояка Ст.2. Діаметр труб поверхостояків і опускній частині в підвал стояка Ст.3 приймаємо dу = 15 мм. Гідравлічні характеристики труби вказані раніше.

Витрата води в стояку Ст.3 по (2.7)

 

= = 0,0551 кг/с

 

Розрахункова швидкість води в Ст.3 по (2.18)

 

Vст3 = 0,0551:0,192 = 0,29 м/с

 

що менше допустимого значення швидкості по умові безшумного руху води в трубах.

Характеристика опору, що розташовується, в стояку Ст.3 по (2.23)

 

= 235,9∙ 104 Па/(кг/с)2

 

Розрахункова характеристика опору стояка Ст.3:

- десять вертикальних проточно-регульованих поверхостояків висотою 2,7 м (додаток7)

Sэт.ст = 17,7 ∙104 ∙10∙ = 177 ∙104 Па/(кг/с)2

 

- два радіаторних вузла верхнього поверху (додаток 8)

 

Sр.уз= 6,39∙104∙2 = 12,78∙104 Па/(кг/с)2

 

- приєднання до розподільної магістралі при нижньому розташуванні (додаток7) дорівнює 33,3 ∙ 104 Па / (кг/с) 2; приєднання до збірної магістралі становить 10,89 ∙ 104 Па / (кг/с) 2;

- прямий горизонтальну ділянку труби на шостому поверсі (1,0 м) (додаток 6)

 

Sтр= = 3,674∙104 ∙1 = 3,67∙104 Па/(кг/с)2

 

Повна розрахункова характеристика опору стояка Ст.3 по (2.19)

 

= (177,0+12,78+33,3+10,89+3,67) ∙104=237,64∙104 Па/(кг/с)2

 

Нев’язка характеристик опору стояка Ст.3 по (2.24)

 

 

що менше допустимої не в’язки (± 15%).Втрати тиску в стояку Ст.3 за (2.21)

 

∆ pст.3 = 237,64∙104 ∙0,05512 = 7214,8 Па

 

Визначаємо втрати тиску на ділянках 3-А і 3'-А' магістральних трубопроводів.

Витрата теплоносія на цих ділянках (7)

 

G3-А = G3′ = = 0,1254 кг/с

 

Діаметри труб ділянок приймаємо 25 мм. Гідравлічні характеристики труби: А =0,159 ∙ 104 Па / (кг/с) 2, λ / d = 1,4 м-1, G / V = 0,555 (кг/с) / (м/с), S = 0,230 Па/(кг/с) 2.

Розрахункова швидкість води на ділянках за (2.18)

V = 0,1254: 0,555 = 0,23 м/с

що в межах допустимого значення (додаток10).

Характеристика опору ділянки 3-А розподільної магістралі за (2.26)

 

= (1,4∙4,3+1,5+1,5) ∙0,159∙104 =1,43∙104 Па/(кг/с)2

 

де ξпк, ξтр - к. м. с., відповідно коркового крана і трійника на прохід з поворотом (додаток 8),

ξпк = ξтр = 1,5.

Втрати тиску на ділянці 3-А за (2.21)

 

∆ p3-А = 1,43∙104 ∙0,12542 = 224,87 Па

Характеристику опору ділянки 3'-А ' збірної магістралі визначаємо аналогічно ділянці 3-А:

(1,4∙5,3+1,5+3) ∙0,159∙104 =1,90∙104 Па/(кг/с)2

 

Втрати тиску на ділянці 3'-А ' по (2.21)

 

∆ p3′-А′ = 1,90∙104 ∙0,12542 = 298,8 Па

 

Втрати тиску на ділянці гілки А-Ст.1-А '

 

∆ pА-Ст.1-А = ∆ p3-А +∆ p2-3 + ∆ pС т.1 + ∆ p2′-3′ +∆ p3′-А′ = 224, 9 + 312,3 + 6505,2+344,9 + 298,8 = 7686,1 Па

 

Співвідношення втрат тиску в стояку Ст.1 і в гілки А-Ст.1-А ' за (2.28)

 

 

Система опалення буде працювати стійко (HСт.1 повинно бути більше 70% за умовою (28). Маємо 84,6%> 70%).

Визначимо втрати тиску на ділянці А-В і А'-В '.

Витрата теплоносія за (2.7)

 

GА-В = GА′ = = 0,27кг/с

 

Діаметр труб ділянок приймаємо dу = 32 мм. Гідравлічні характеристики труби: А = 0,0508 ∙ 104 Па/(кг/с) 2, λ/d = 1,0 м-1, G/V = 0,970 (кг/с)/(м/с), S = 0,050 ∙ 104 Па/(кг/с) 2.

Розрахункова швидкість води на ділянці А-В і А'-В ' за (2.18)

 

V = 0,27: 0,97 = 0,28 м/с

 

що в допустимих межах (додаток 11).

Характеристика опору (2.26):

 

Ділянки А-В

(1,0∙5,5+1,5+1,5) ∙0,0508∙104 =0,4318∙104 Па/(кг/с)2

 

Ділянки А'-В '

(1,0∙5,5+1,5+3) ∙0,0508∙104 = 0,4823·104 Па/(кг/с)2

 

Втрати тиску по (2.21)

На ділянці А-В

∆ pА-В = 0,4318∙104 ∙0,272 = 314,78 Па

На ділянці А-В

∆ pА′-В′ = 0,508∙104 ∙0,272 = 370,33 Па

 

Визначимо втрати тиску на ділянці В-ІТП і В'-ІТП ', Витрата теплоносія за (2.7)

 

 

Діаметр труб ділянок приймаємо dу = 40 мм. Гідравлічні характеристики труби: А = 0,0297 ∙ 104 Па/(кг/с) 2, λ/d = 0,8 м-1, G/V = 1,29 (кг/с)/(м/с), S = 0,024∙104 Па/(кг/с)2.

Розрахункова швидкість води на зазначених ділянках за (2.18)

 

V = 0,5566: 1,29 = 0,43 м/с

що в допустимих межах

Характеристика опору ділянки У-ІТП за (26):

 

(0,8∙8,3+0,3∙2)∙0,0297∙104 =0,2150∙104 Па/(кг/с)2

 

Втрати тиску на ділянці В-ІТП за (2.21)

 

∆ pВ-ИТП = 0,2150∙104 ∙0,55662 = 666,2 Па

Втрати тиску на ділянці В '- ІТП' рівні втрат на ділянці В-ІТП так як ділянка В'-ІТП має такі ж геометричні розміри, як і ділянка По - ІТП: чи рівні діаметри труб і їх довжина 8,3 м; обидві ділянки мають по два гнутих відведення 90 °.

Розрахункові втрати тиску в системі опалення за основним циркуляційного контуру ІТП - Ст.1 - ІТП

 

Σ∆ pк = 7686,1 +314,8 +370,3 + 666,2 + 666,2 = 9703,6 Па

 

Запас наявного тиску знаходиться в допустимих межах 5 +10%.

Таким чином, розрахунок основного циркуляційного контуру завершений.

Дані гідравлічного розрахунку системи водяного опалення наведені в табл.2








Date: 2015-09-18; view: 779; Нарушение авторских прав



mydocx.ru - 2015-2026 year. (0.325 sec.) Все материалы представленные на сайте исключительно с целью ознакомления читателями и не преследуют коммерческих целей или нарушение авторских прав - Пожаловаться на публикацию