Главная Случайная страница


Полезное:

Как сделать разговор полезным и приятным Как сделать объемную звезду своими руками Как сделать то, что делать не хочется? Как сделать погремушку Как сделать так чтобы женщины сами знакомились с вами Как сделать идею коммерческой Как сделать хорошую растяжку ног? Как сделать наш разум здоровым? Как сделать, чтобы люди обманывали меньше Вопрос 4. Как сделать так, чтобы вас уважали и ценили? Как сделать лучше себе и другим людям Как сделать свидание интересным?


Категории:

АрхитектураАстрономияБиологияГеографияГеологияИнформатикаИскусствоИсторияКулинарияКультураМаркетингМатематикаМедицинаМенеджментОхрана трудаПравоПроизводствоПсихологияРелигияСоциологияСпортТехникаФизикаФилософияХимияЭкологияЭкономикаЭлектроника






Расчет оборотных средств в запасах материалов





 

В составе производственных запасов входят следующие элементы:

- основные материалы;

- вспомогательные материалы;

- топливо.

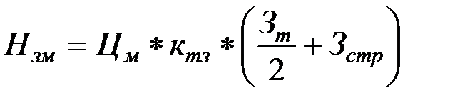
Потребность в оборотных средствах для создания производственных запасов определяется по формуле:

 

, (4.1)

 

где Нзм норматив запаса оборотных средств в запасах основных материалов, руб.;

Зт – величина текущего запаса основных материалов, натуральные единицы измерения - тонны, куб.метры и т.д.;

Зстр – величина страхового запаса, натуральные единицы измерения – тонны, куб.метры и т.д.;

Цм цена единицы материалов, руб./тонна, руб./м3 и т.д.;

ктз коэффициент, учитывающий транспортные заготовительные расходы 1,1.

 

Величина текущего запаса определяется по формуле:

 

, (4.2)

 

где Зт технический запас, тонн;

d -среднесуточная потребность основных материалов, т;

Тпост период поставки материалов, дней.

 

Страховой запас определяется по формуле:

 

, (4.3)

 

где Зстр страховой запас в тоннах;

d среднесуточная потребность в основных материалах в тоннах;

DT норма запаса материалов в днях.

 

Среднесуточная потребность в материалах вычисляется по формуле:

 

, (4.4)

 

где d среднесуточная потребность в материалах, тонн, м3 и т.д.;

Нр норма расхода основных материалов на изделие, кг;

N годовая программа выпуска изделий, шт.;

Тгод количество дней в году (360).

 

Рассчитаем среднесуточная потребность в материалах по формуле:4.4

 

, (4.4)

 

Рассчитаем величину текущего запаса по формуле 4.2:

 

 

Рассчитаем страховой запас по формуле 4.3:

 

 

Зстр = 31 * 15 = 465 т.

 

 

Рассчитаем потребность в оборотных средствах для создания производственных запасов по формуле 4.1:

 

 

 

 







Date: 2015-09-18; view: 767; Нарушение авторских прав



mydocx.ru - 2015-2026 year. (0.559 sec.) Все материалы представленные на сайте исключительно с целью ознакомления читателями и не преследуют коммерческих целей или нарушение авторских прав - Пожаловаться на публикацию