Главная Случайная страница


Полезное:

Как сделать разговор полезным и приятным Как сделать объемную звезду своими руками Как сделать то, что делать не хочется? Как сделать погремушку Как сделать так чтобы женщины сами знакомились с вами Как сделать идею коммерческой Как сделать хорошую растяжку ног? Как сделать наш разум здоровым? Как сделать, чтобы люди обманывали меньше Вопрос 4. Как сделать так, чтобы вас уважали и ценили? Как сделать лучше себе и другим людям Как сделать свидание интересным?


Категории:

АрхитектураАстрономияБиологияГеографияГеологияИнформатикаИскусствоИсторияКулинарияКультураМаркетингМатематикаМедицинаМенеджментОхрана трудаПравоПроизводствоПсихологияРелигияСоциологияСпортТехникаФизикаФилософияХимияЭкологияЭкономикаЭлектроника






Необоротним називається процес, коли зворотний перехід через ті самі проміжні стани неможливий





Будь-який рівноважний процес є оборотним.

Оборотні процеси - це до деякої міри ідеалізація реальних процесів. Всі реальні процеси є необоротними.

 

Цикл Карно і його коефіцієнт корисної дії для ідеального газу

Розглянемо коловий процес, в результаті якого тепло, відняте від якогось тіла, можна перетворити в роботу і притому якнайкраще.

Теорема Карно: із всіх періодично діючих теплових машин, що мають однакові температури нагрівачів і холодильників, найбільший К.К.Д. мають оборотні машини; при цьому К.К.Д. оборотних машин, що працюють при однакових температурах нагрівачів і холодильників, дорівнюють один одному і не залежать від конструкції машини.

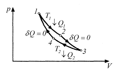
Цикл Карно складається з двох ізотерм і двох адіабат (рис.34).


Рис.34

 

Ізотермічне розширення і стиск задані відповідно кривими і , адіабатне розширення і стиск - кривими і . Для виконання циклу Карнонеобхідні термостат з температурою (нагрівник) і термостат з температурою (холодильник), причому . При проходженні адіабатних ділянок циклусистема повинна бути термоізольованою від навколишнього середовища.

Визначимо К.К.Д. циклу Карно. При ізотермічному процесі і робота розширення газу дорівнює кількості теплоти , що отримав газ від нагрівника:

.

При адіабатному розширенні робота виконується за рахунок зміни внутрішньої енергії:

.

При ізотермічному стисканні газу виконується робота і газ віддає холодильнику кількість теплоти :

.

Робота адіабатного стискання:

.

В результаті колового циклу виконується робота:

.

Термічний К.К.Д. циклу Карно:

.

Використаємо рівняння адіабат і :

, ;

.

Звідси:

.

Тоді:

.

Отже:

.

Для циклу Карно К.К.Д. визначається лише температурами нагрівника і холодильника.

Довільна реальна машина втрачає деяку кількість теплоти через теплообмін з навколишнім середовищем, що знаходиться при нижчій температурі. Позначимо цю втрату теплоти . Крім того, на подолання сил тертя, які існують у всякій реальній машині, тратиться деяка кількість теплоти .

Отже, робота реальної машини:

,

де

Формула коефіцієнта корисної дії реальної теплової машини має вигляд:

.

 

 







Date: 2015-09-18; view: 555; Нарушение авторских прав



mydocx.ru - 2015-2026 year. (1.059 sec.) Все материалы представленные на сайте исключительно с целью ознакомления читателями и не преследуют коммерческих целей или нарушение авторских прав - Пожаловаться на публикацию