Главная Случайная страница


Полезное:

Как сделать разговор полезным и приятным Как сделать объемную звезду своими руками Как сделать то, что делать не хочется? Как сделать погремушку Как сделать так чтобы женщины сами знакомились с вами Как сделать идею коммерческой Как сделать хорошую растяжку ног? Как сделать наш разум здоровым? Как сделать, чтобы люди обманывали меньше Вопрос 4. Как сделать так, чтобы вас уважали и ценили? Как сделать лучше себе и другим людям Как сделать свидание интересным?


Категории:

АрхитектураАстрономияБиологияГеографияГеологияИнформатикаИскусствоИсторияКулинарияКультураМаркетингМатематикаМедицинаМенеджментОхрана трудаПравоПроизводствоПсихологияРелигияСоциологияСпортТехникаФизикаФилософияХимияЭкологияЭкономикаЭлектроника






Производная по времени от количества движения системы равна главному вектору внешних сил, действующих на систему





(* *) – математическое выражение теоремы об изменении количества движения в дифференциальной форме.

Следствия:

Теорема об изменении количества движения системы в интегральной форме (теорема импульсов.)

Импульс силы характеризует действие силы за некоторый промежуток времени.

Элементарным импульсом силы называется векторная величина, равная произведению силы на бесконечно малый промежуток времени dt.

Теорема:

Изменение количества движения механической системы за конечный промежуток времени равно сумме импульсов внешних сил, действующих на систему, за тот же промежуток времени.

Следствие (закон сохранения импульса).

Теорема об изменении главного момента количества движения системы.

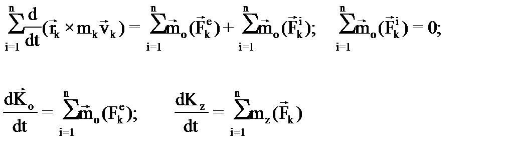
Момент количества движения точки относительно центра и оси.

Моментом количества движения материальной точки называется векторная величина, определяемая равенством:

Кинетическим моментом механической системы относительно центра (оси) называется величина, равная геометрической(алгебраической) сумме моментов количеств движений всех точек системы относительно того же центра (оси).

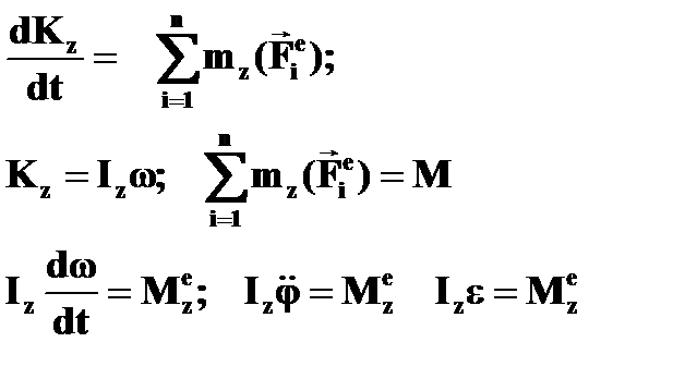
Кинетический момент твёрдого тела относительно оси вращения.

Теорема об изменении главного момента количества движения системы.

Производная по времени от главного момента количества движения системы относительно некоторого центра (оси) равна главному моменту внешних сил, действующих на систему относительно того же центра (оси).

Следствия.

Закон сохранения кинетического момента системы.

Приложение общих теорем к динамике твёрдого тела.

Поступательное движение

 

Дифференциальное уравнение вращательного движения твёрдого тела относительно неподвижной оси.

Дифференциальные уравнения плоского движения твёрдого тела.

Теорема моментов

Теорема.

 

Производная по времени от кинетического момента системы относительно оси, проходящей через центр масс, в системе отсчёта, которая движется поступательно вместе с центром масс, равна главному моменту внешних сил, действующих на систему относительно этой оси.

(*)

(*) - система дифференциальных уравнений плоского движения твёрдого тела.

Приложение общих теорем к динамике твёрдого тела.

Поступательное движение

 

Дифференциальное уравнение вращательного движения твёрдого тела относительно неподвижной оси.

Дифференциальные уравнения плоского движения твёрдого тела.

Теорема моментов

Теорема.

 

Производная по времени от кинетического момента системы относительно оси, проходящей через центр масс, в системе отсчёта, которая движется поступательно вместе с центром масс, равна главному моменту внешних сил, действующих на систему относительно этой оси.

(*)

(*) - система дифференциальных уравнений плоского движения твёрдого тела.

 







Date: 2015-09-03; view: 685; Нарушение авторских прав



mydocx.ru - 2015-2026 year. (0.437 sec.) Все материалы представленные на сайте исключительно с целью ознакомления читателями и не преследуют коммерческих целей или нарушение авторских прав - Пожаловаться на публикацию