Главная Случайная страница


Полезное:

Как сделать разговор полезным и приятным Как сделать объемную звезду своими руками Как сделать то, что делать не хочется? Как сделать погремушку Как сделать так чтобы женщины сами знакомились с вами Как сделать идею коммерческой Как сделать хорошую растяжку ног? Как сделать наш разум здоровым? Как сделать, чтобы люди обманывали меньше Вопрос 4. Как сделать так, чтобы вас уважали и ценили? Как сделать лучше себе и другим людям Как сделать свидание интересным?


Категории:

АрхитектураАстрономияБиологияГеографияГеологияИнформатикаИскусствоИсторияКулинарияКультураМаркетингМатематикаМедицинаМенеджментОхрана трудаПравоПроизводствоПсихологияРелигияСоциологияСпортТехникаФизикаФилософияХимияЭкологияЭкономикаЭлектроника






Корень(20-5*$a3^2)/2





А в ячейку С3 для вычисления значений функции f 2 (x):

КОРЕНЬ(20-5*$A3^2)/2.

Далее скопируем эти формулы до В43 и С43.

Затем выделим диапазон А3:С43 и построим графики функций f 1 (x) и f 2 (x) в одной графической области (рис. 5).

Рис.5

 

ВАРИАНТЫ ЗАДАНИЙ

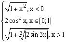
ЗАДАНИЕ 1. Построить график функции f(x).

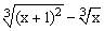
f(x) f(x) f(x)
     
     
     
     
     
     
     
     
     
     

ЗАДАНИЕ 2. Построить график функции f(x).

f(x) f(x) f(x)
     
     
     
     
     
     
     
     
     
     

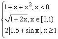
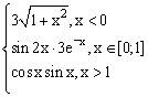
ЗАДАНИЕ 3. Построить график функции f(x).

f(x) f(x) f(x)
     
     
     
     
     
     
     
     
     
     

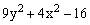
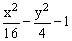
ЗАДАНИЕ 4. Изобразите линии заданные неявно уравнением f(x,y)=0.

f(x,y) f(x,y) f(x,y)
     
     
     
     
     
     
     
     
     
     

 

КОНТРОЛЬНЫЕ ВОПРОСЫ

 

1. Что такое содержимое ячейки, значение содержимого ячейки, формат ячейки и ее адрес?

2. Какие операции и функции используют при написании формул в ячейках электронных таблиц?

3. Данные каких типов могут быть записаны в ячейку?

4. Какие значения может принимать содержимое ячейки?

5. Как изменить размер ячейки?

6. Как записываются абсолютные и относительные адреса ячеек?

7. Установите курсор на правый нижний угол ячейки А2, нажмите левую кнопку мыши и протяните на ячейку С2. Какие числа появятся в ячейках В2 и С2? Поменяйте относительный адрес ячейки А1 на абсолютный и проделайте те же манипуляции. Как изменится содержимое ячеек В2 и С2 и почему?

8.

9. Как переместить или скопировать содержимое ячеек?

10. Перечислите известные вам форматы содержимого ячеек.

11. Как таким образом поместить текст в ячейку?

 

12. Каким образом можно скопировать формулу.

13. Какой тип диаграммы используется для построения графиков математических функций?

14. Как в построенном графике изменить название «Ряд 1» на название «Функция»?

15. Как заполнить столбец ячеек, начиная с ячейки А1, числами от -2 до 2 с шагом 0,1?

16. Как на одном диаграмме (графике) изобразить две функциональные зависимости?

17. Как установить по оси Х (Y) логарифмический масштаб?

 







Date: 2015-09-02; view: 601; Нарушение авторских прав



mydocx.ru - 2015-2026 year. (0.777 sec.) Все материалы представленные на сайте исключительно с целью ознакомления читателями и не преследуют коммерческих целей или нарушение авторских прав - Пожаловаться на публикацию