Главная Случайная страница


Полезное:

Как сделать разговор полезным и приятным Как сделать объемную звезду своими руками Как сделать то, что делать не хочется? Как сделать погремушку Как сделать так чтобы женщины сами знакомились с вами Как сделать идею коммерческой Как сделать хорошую растяжку ног? Как сделать наш разум здоровым? Как сделать, чтобы люди обманывали меньше Вопрос 4. Как сделать так, чтобы вас уважали и ценили? Как сделать лучше себе и другим людям Как сделать свидание интересным?


Категории:

АрхитектураАстрономияБиологияГеографияГеологияИнформатикаИскусствоИсторияКулинарияКультураМаркетингМатематикаМедицинаМенеджментОхрана трудаПравоПроизводствоПсихологияРелигияСоциологияСпортТехникаФизикаФилософияХимияЭкологияЭкономикаЭлектроника






Примеры построения графиков





ПРИМЕР. 1. Построить график функции

1. Определите функцию f(x). Для этого в ячейки А1:А21 введите значение аргумента при помощи автозаполнения, в данном случае с шагом 0,5 (рис.1). Для этого выделите маркер заполнения и при нажатой правой клавише мыши перетащите его до ячейки А21. В отрывшемся контекстном меню выберите команду Прогрессия, и установите для арифметической прогрессии (по умолчанию) шаг 0,5. В ячейку В1 введите значение функции, вычисляемое по формуле =(A1^2*(A1+3))^(1/3). Ячейки В2:В21 заполните копированием формулы из ячейки В1.

2.

 
 

Выделите диапазон А1:В21 и командой меню Вставка→Диаграмма откройте окно Вставка диаграммы (рис. 2) Для построения графика функции выберите точечную диаграмму с гладкими кривыми. Чтобы график получился выразительным, можно определить промежуток изменения аргумента, увеличить толщину линий, выделить оси координат, нанести на них соответствующие деления, сделать подписи на осях и вывести заголовок (рис.1)

 
 
Рис. 1


Рис. 12

.

 

 
 
Рис. 2  

 

 


ПРИМЕР 2. Построить график функции:

При построении этого графика следует обратить внимание на область определения функции. В данном случае функция не существует при обращении знаменателя в ноль. Решим уравнение: 4x+8 ≠ 0 x ≠ -2

Рис. 3

Рис. 3
Следовательно, при определении значений аргумента следует помнить, что при x =-2 функция не определена. На рис.3 видно, что значение аргумента задано с шагом 0,2 в два этапа, не включая (-2).

ПРИМЕР 3. Построить график функции:

При построении этого графика следует использовать функцию ЕСЛИ. Например, в ячейке А1 (рис. 4) находится начальное значение аргумента, тогда в ячейку В1 необходимо ввести формулу:

=ЕСЛИ(A7<0;1+A7;ЕСЛИ(A7>=1;A7^2;EXP(A7))).

Рис. 4

 

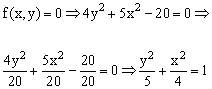
РИМЕР 4.5. Изобразите линию, заданную неявно уравнением:

 
 

Заметим, что заданная уравнением f(x,y) = 0 функция описывает кривую линию под названием эллипс. Это можно доказать, если произвести элементарные математические операции:

В связи с тем, что линия задана неявно, для ее построения необходимо разрешить заданное уравнение относительно переменной y:

После проведенных преобразований можно увидеть, что линию f(x,y) можно изобразить, построив графики двух функций в одной графической области.

и

Перед построением определим ОДЗ функций f 1 (x) и f 2 (x).

Поскольку эти функции содержат в числителе выражение под знаком квадратного корня, то обязательным условием их существования будет выполнение следующего неравенства:

Теперь перейдем к построению графика.

Для этого в диапазон А3:А43 введем значения аргумента (от -2 до 2 с шагом 0,1).

В ячейку В3 введем формулу для вычисления значений функции f 1 (x):







Date: 2015-09-02; view: 555; Нарушение авторских прав



mydocx.ru - 2015-2026 year. (0.412 sec.) Все материалы представленные на сайте исключительно с целью ознакомления читателями и не преследуют коммерческих целей или нарушение авторских прав - Пожаловаться на публикацию