Главная Случайная страница


Полезное:

Как сделать разговор полезным и приятным Как сделать объемную звезду своими руками Как сделать то, что делать не хочется? Как сделать погремушку Как сделать так чтобы женщины сами знакомились с вами Как сделать идею коммерческой Как сделать хорошую растяжку ног? Как сделать наш разум здоровым? Как сделать, чтобы люди обманывали меньше Вопрос 4. Как сделать так, чтобы вас уважали и ценили? Как сделать лучше себе и другим людям Как сделать свидание интересным?


Категории:

АрхитектураАстрономияБиологияГеографияГеологияИнформатикаИскусствоИсторияКулинарияКультураМаркетингМатематикаМедицинаМенеджментОхрана трудаПравоПроизводствоПсихологияРелигияСоциологияСпортТехникаФизикаФилософияХимияЭкологияЭкономикаЭлектроника






Дополнительное задание





1. Как определяется взаимная проводимость ветви?

Взаимная проводимость узлов j и k равна взятой с обратным знаком сумме прово- димостей ветвей, соединяющих эти узлы.

Если между двумя узлами в схеме цепи нет ветви, то соответствующая взаимная проводимость равна нулю. Если узлы k и j соединены одной ветвью с сопротивлением и проводимостью , то

2. Как определяется собственная проводимость узла?

Собственная проводимость k-го узла равна сумме проводимостей всех ветвей, соединенных с узлом k (в их число входят и ветви, соединяющие балансирующий узел с нулевым напряжением с узлом k). Если таких ветвей нет, то собственная проводимость узла равна сумме всех взаимных проводимостей , взятой с обратным знаком.

Пусть с узлом k соединено т ветвей, тогда

, где n+1 – общее число узлов в сети, из которых n независиммых.

3. Запишите систему уравнений узловых напряжений для трехузловой сети.

4. При каком представлении активных элементов система уравнений узловых напряжений является линейной?

Линейными считаются уравнения содержащих только линейные пассивные элементы и постоянные но модулю и фазе источники тока, описываются линейными алгебраическими уравнениями.

5. При каком представлении активных элементов система уравнений узловых напряжений является нелинейной?

Нелинейность источников тока соответствует заданию в узлах нагрузки потребителей или генераторов с постоянной мощностью либо заданию нагрузки ее статическими характеристиками, определяющими зависимость мощности от напряжения. Установившиеся режимы электрических систем с нелинейными источниками тока описываются нелинейными алгебраическими уравненями — нелинейными уравнениями установившегося режима.

6. Назовите основные методы решения систем уравнений узловых напряжений.

Методы решения линейных уравнений установившегося режима можно разделить на две группы: точные (или прямые) и итерационные (или приближенные).

Точными или прямыми методами называются такие, которые в предположении, что все вычисления ведутся точно (без округлений), позволяют получить точные значения неизвестных в результате конечного числа операций. Практически все вычисления ведутся с округлениями, поэтому и значения неизвестных, полученных точным методом, будут содержать погрешности. Из точных методов можно отметить метод Гаусса и решение линейных уравнений установившегося режима с помощью обратной матрицы.

Итерационными или приближенными методами называют такие, которые даже в предположении, что вычисления ведутся без округлений, позволяют получить решение системы уравнений лишь с заданной точностью. Точное решение системы в случае применения итерационных методов может быть получено теоретически как результат бесконечного итерационного процесса. Например, простая итерация и метод Зейделя.

7. Поясните суть метода исключения Гаусса

Метод последовательного исключения (метод Гаусса) — один из наиболее распространенных способов решения систем линейных алгебраических уравнений. Если точно выполнить все действия метода Гаусса, то получим точное решение системы. Алгоритмы, с помощью которых может быть реализован метод Гаусса, различны. Наиболее распространен алгоритм единственного деления (или алгоритм с обратным ходом), при обращении матриц применяется алгоритм метода Гаусса без обратного хода (или схема Жордана).

Решение по алгоритму единственного деления распадается на два этапа:

прямой ход — приведение системы линейных уравнений к эквивалентной системе с треугольной матрицей

Где коэффициенты треугольной матрицы и правые части определяются по известным выражениям, соответствующим исключению неизвестных.

обратный ход — вычисление неизвестных в соответствии с

Общее количество арифметических действий в методе Гаусса несколько меньше , где n — число неизвестных. Машинное время, необходимое для выполнения арифметических операций метода Гаусса, пропорционально кубу числа неизвестных.

Достоинство метода Гаусса состоит в том, что его применение гарантирует получение решения в результате выполнения определенного числа арифметических операций, причем число необходимых операций определяется только порядком системы n.

8. Поясните суть метода простой итерации

Рассмотрение простой итерации важно для понимания сути применения итерационных методов расчета установившихся режимов электрических систем.

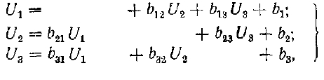
Предполагая, что диагональные элементы , разрешим первое уравнение системы


(1)

относительно , второе — относительно , а третье —относительно . Тогда получим систему, эквивалентную (1):

(2)

 

Где,

Зададим начальные приближения неизвестных ), , . Подставляя их в правые части системы, получаем первые приближения , , . Вычисление первого приближения неизвестных соответствует первому шагу итерационного процесса. Полученные первые приближения могут быть таким же образом использованы для получения вторых, третьих и последующих приближений. Используя значения переменных, полученных на предыдущем, i-м шаге, можно получить (i+l)-e приближения неизвестных:

(3)

 

Диагональные элементы матрицы В равны нулю, т.е. , а недиагональные элементы (т.е. , при ) совпадают с коэффициентами систем (2) или (3). Учитывая правило умножения и сложения матриц, систему (2) можно записать в матричной форме:

(4)

Аналогично итерационное выражение (3) можно записать в матричном виде:

(5)

Элементы матрицы B – безразмерные величины, а элементы вектора b имеют размерность напряжений.

Итерационный процесс, определяемы выражение (3) или (5), называется простой итерацией.

9. Поясните суть метода Зейделя.

Метод Зейделя представляет собой незначительную модификацию простой итерации. Основная его идея в отличие от простой итерации заключается в том, что найденное (i+1)-e приближение (k— 1)-го напряжения , сразу же используется для вычисления следующего, k-го напряжения . Иными словами, полученное

(i+1)-е значение напряжения сразу же используется для вычисления (i+1) - значения напряжений , 3 и т.д. Таким образом, для система итерационный процесс метода Зейделя описывается следующим выражением:

По методу простой (i+1)-e приближение k-го напряжения для системы n-го порядка вычисляется по следующему выражению:

По методу Зейделя (i+1)-е приближение k-го напряжения вычисляется так:

Как правило, метод Зейделя надежнее и быстрее сходится, чем метод простой итерации Кроме того, метод Зейделя требует несколько меньшей пямяги, чем простая итерация, так как необходимо помнить только один вектор переменных. Действительно, при решении по Зейделю, например, уравнений узловых напряжений сразу после вычисления (i+1)-e приближение k-го узлового напряжения записывается в ту же ячейку памяти, где ранее хранилось i-e приближение . При использовании простой итерации необходимо помнить два вектора узловых напряжений, соответствующих i-му и (i+1)-мy шагам.

Алгоритмическая реализация метода Зейделя столь же проста, как и простой итерации. Единственное изменение в алгоритме расчета состоит в засылке вычисленного в то же место памяти, где ранее хранилось

10. Каковы нормально допустимые и предельно допустимые значения отклонения напряжения на выходах приемников электрической энергии?

Отклонение напряжения характеризуется показателем установившегося отклонения напряжения, для которого установлены следующие нормы:

· нормально допустимые и предельно допустимые значения установившегося отклонения напряжения δUу на выводах приемников электрической энергии равны соответственно +/-5 и +/-10% от номинального напряжения электрической сети по ГОСТ 721 и ГОСТ 21128 (номинальное напряжение);

· нормально допустимые и предельно допустимые значения установившегося отклонения напряжения в точках общего присоединения потребителей электрической энергии к электрическим сетям напряжением 0,38 кВ и более должны быть установлены в договорах на пользование электрической энергией между энергоснабжающей организацией и потребителем с учетом необходимости выполнения норм настоящего стандарта на выводах приемников электрической энергии.


11. Каковы наибольшие и наименьшие рабочие напряжение электрических сетей и чем они обусловлены?

Наибольшее значение напряжения, при котором оборудование может нормально функционировать неограниченное время. Это напряжение устанавливают исходя из его воздействия на изоляцию и характеристики оборудования, зависящие от него. Наибольшее напряжение для оборудования есть максимальное значение из наибольших напряжений сетей, в которых данное оборудование может быть использовано.

Наибольшее напряжение указывается только для оборудования, присоединяемого к сетям с номинальным напряжением выше 1000 В. Однако следует иметь в виду, что для некоторых номинальных напряжений еще до достижения этого наибольшего напряжения уже не представляется возможным осуществлять нормальную работу оборудования с точки зрения таких зависящих от напряжения характеристик, как например, потери в конденсаторах, намагничивающий ток в трансформаторах и т.д. В этих случаях в соответствующих стандартах должны быть установлены ограничения, при которых может быть обеспечена нормальная работа устройств.

Очевидно, что оборудование, предназначенное для сетей с номинальным напряжением, не превышающим 1000 В, целесообразно характеризовать только номинальным напряжением как с точки зрения рабочих характеристик, так и изоляции.

 

 

Список литературы

1. Лычев П.В., Федин В.Т. Электрические сети энергетических: Учебное пособие.: систем 1999-255с.

2. Идельник В.И. Электрические системы и сети: Учебник для вузов.:1982-592с

3. Веникова В.А. Электрические системы.: 1998- 511с.

4. Лычев П.В., Федин В.Е. Электрические системы и сети. Решение практических задач.

5. Файбисович. Д. Л Справочник по проектированию электрических сетей. Москва, ЭНАС 2012

 

 







Date: 2015-09-02; view: 519; Нарушение авторских прав



mydocx.ru - 2015-2026 year. (0.875 sec.) Все материалы представленные на сайте исключительно с целью ознакомления читателями и не преследуют коммерческих целей или нарушение авторских прав - Пожаловаться на публикацию