Главная Случайная страница


Полезное:

Как сделать разговор полезным и приятным Как сделать объемную звезду своими руками Как сделать то, что делать не хочется? Как сделать погремушку Как сделать так чтобы женщины сами знакомились с вами Как сделать идею коммерческой Как сделать хорошую растяжку ног? Как сделать наш разум здоровым? Как сделать, чтобы люди обманывали меньше Вопрос 4. Как сделать так, чтобы вас уважали и ценили? Как сделать лучше себе и другим людям Как сделать свидание интересным?


Категории:

АрхитектураАстрономияБиологияГеографияГеологияИнформатикаИскусствоИсторияКулинарияКультураМаркетингМатематикаМедицинаМенеджментОхрана трудаПравоПроизводствоПсихологияРелигияСоциологияСпортТехникаФизикаФилософияХимияЭкологияЭкономикаЭлектроника






Марки кабельных линий





1. АВВГ 3x2,5 – трехжильный, алюминиевая жила сечением в 2,5 мм2, изоляция из ПВХ- пластика, оболочка из ПВХ – пластика,

2. ВВГ 2х2,5 - двухжильный, кабель силовой, с медными жилами сечением в 2,5 мм2, поливинилхлоридной изоляцией, в поливинилхлоридной оболочке.

3. ПВГ 5x20 – пятижильный кабель с медными жилами сечением в 20 мм2, с полиэтиленовой изоляцией, защитной оболочкой из поливинилхлорида, кабель не имеет защитного покрова.

4. АСБ 4x30 – четырехжильный кабель с алюминиевыми жилами сечением в 30 мм2, в свинцовой оболочке, кабель имеет броню, которая выполнена двумя стальными лентами, которые не подвержены образованию коррозии.

5. НРГ 1x120 - одножильный, кабель силовой, с медными жилами сечением в 120 мм2, резиновой изоляцией, в резиновой маслостойкой и негорючей оболочке

6. АНРГ 3x150 - трехжильный, кабель силовой, с алюминиевыми жилами сечением 150 мм2, резиновой изоляцией, в резиновой маслостойкой и негорючей оболочке

7. АВРГ 4x300 – четырехжильный, Кабель силовой, с алюминиевыми жилами сечением 300мм2, резиновой изоляцией, в резиновой маслостойкой и негорючей оболочке

8. ШВВП 2x50 – двухжильный, установочный кабель с медной жилой сечением 50 мм2, ПВХ изоляцией и ПВХ оболочкой, плоский (с рядно расположенными жилами)

9. АПВ 1x30 – одножильный, установочный провод с алюминиевой жилой сечением 30 мм2 в ПВХ изоляции.

10. ААГ 2x60 – двухжильный, силовой кабель с алюминиевой жилой сечением 60 мм2, бумажной изоляцией, алюминиевой оболочкой, без защитного покрова.

 

Расчетная часть

Рис 6. Расчетная схема

 

 

Исходные данные:

Ua=121кВ;

Ла1: AC-240/32, 40км, , ,

Л12: АС-120/19, 20 км, , ,

Л23: АС-50/8, 4 км, ,

T1: ТМН6300/115/11; , , кВт;

T2: ТМ1000/10/0,4; ,

S1=20МВА, Cos(fi)=0,95;

S2=12MВА, Cos(fi)=0,95;

S3=0,85МВА, Cos(fi)=0,90;

Рис7. Схема замещения

 

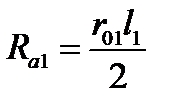
Рассчитаем параметры линии Ла1.

Активное сопротивление линии равно . Имеем 2 одинаковые параллельные линии, поэтому эквивалентное активное сопротивление линии будет равно

, (1)

,

. (2)

Реактивное сопротивление линии равно . Имеем 2 одинаковые параллельные линии, поэтому эквивалентное активное сопротивление линии будет равно

, (3)

,

(4)

Зарядная мощность рассчитывается по формуле

, (5)

(6)

Рассчитаем параметры линии Л12

Аналогично линии Ла1 получаем:

Активное сопротивление:

(7)

. (8)

Реактивное сопротивление:

(9)

. (10)

Зарядная мощность:

. (11)

МВар. (12)

Рассчитаем параметры линии Л23. Это местные сети 35к и ниже. Зарядная мощность здесь не учитывается.

Активное сопротивление:

, (13)

. (14)

Реактивная мощность

(15)

Ом. (16)

Рассчитаем выходные мощности.

Известно, что , а .

Синус найдем по основному тригонометрическому тождеству.

В итоге .

МВА (17)

МВА (18)

. МВА (19)

Найдем потерю мощности на трансформаторе Т2.

; (20)

МВА; (21)

Расчетная мощность равна:

, (22)

. (23)

Так как линия Л23 является местной, то потери мощности в ней не учитываются.

Найдем потерю мощности на трансформаторе T1.

; (24)

МВА (25)

Вторая расчетная мощность равна:

, (26)

МВА (27)

Учитывая потери холостого хода получим

, (28)

МВА (29)

Учитывая выходную мощность S2 и зарядную мощность линии Л12 получим

, (30)

МВА (31)

Найдем потери мощности в линии Л12

; (32)

МВА. (33)

Найдем пятую расчетную мощность:

МВА (34)

С учетом зарядной мощности линии Л12 и выходной мощности S1 получим

, (35)

МВА (36)

Учитывая зарядную мощность линии Ла1.

, (37)

МВА. (38)

Потери мощности в линии Ла1:

, (39)

МВА. (40)

Расчетная мощность:

, (41)

МВА. (42)

C учетом потерь зарядной мощности получим мощность на источнике питания.

, (43)

(44)

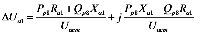
Далее мы должны найти напряжение на конце данной электрической сети.

Найдем падение напряжение на линии Ла1

, (45)

(46)

Модуль равен:

кВ.

Расчетное напряжение:

, (47)

. (48)

Найдем падение напряжения на линии Л12, учитывая мощность перед линией.

, (49)

(50)

Модуль равен:

Расчетное напряжение:

, (51)

кВ. (52)

Рассчитаем потери напряжения в обмотках трансформатора

, (53)

(54)

Модуль равен:

кВ. (55)

Расчетное напряжение:

(56)

кВ. (57)

Расчетное напряжение с учетом коэффициента трансформации

,

кВ (58)

Найдем потери напряжения в линии Л23, это местная сеть, поэтому не учитываем поперечную составляющую и берем номинальное напряжение.


, (59)

кВ (60)

Расчетное напряжение

, (61)

кВ. (62)

Найдем потери напряжения в трансформаторе T2, так же не учитывая поперечную составляющую и берем номинальное напряжение.

, (63)

кВ. (64)

Расчетное напряжение:

, (66)

кВ. (67)

Конечное напряжение с учетом коэффициента трансформации

,

кВ.

 







Date: 2015-09-02; view: 742; Нарушение авторских прав



mydocx.ru - 2015-2026 year. (0.815 sec.) Все материалы представленные на сайте исключительно с целью ознакомления читателями и не преследуют коммерческих целей или нарушение авторских прав - Пожаловаться на публикацию