Главная Случайная страница


Полезное:

Как сделать разговор полезным и приятным Как сделать объемную звезду своими руками Как сделать то, что делать не хочется? Как сделать погремушку Как сделать так чтобы женщины сами знакомились с вами Как сделать идею коммерческой Как сделать хорошую растяжку ног? Как сделать наш разум здоровым? Как сделать, чтобы люди обманывали меньше Вопрос 4. Как сделать так, чтобы вас уважали и ценили? Как сделать лучше себе и другим людям Как сделать свидание интересным?


Категории:

АрхитектураАстрономияБиологияГеографияГеологияИнформатикаИскусствоИсторияКулинарияКультураМаркетингМатематикаМедицинаМенеджментОхрана трудаПравоПроизводствоПсихологияРелигияСоциологияСпортТехникаФизикаФилософияХимияЭкологияЭкономикаЭлектроника






Водоспуск. Конструкции и расчет





Водоспуск в составе водохранилищного гидроузла предназначен для полного или частичного опорожнения водохранилища. Расчетный расход водоспуска назначают из условия обеспечения сработки водохранилища до необходимого уровня воды за заданный период времени, а также пропуска санитарных или строительных расходов. Скорость опорожнения водохранилища назначают с учетом допустимой интенсивности понижения уровней, при которой обеспечивается устойчивость склонов и верхового откоса плотины. По конструкции он напоминает водозабор, однако входная часть устраивается на самых низких отметках уровней воды в водохранилище.

1-металлическая решетка, 2-стальная или чугунная труба, 3-крепление верхового откоса, 4- слой глины, 5-диафрагма, 6-задвижка, 7- водобойный колодец.

Рассчитываем длину трубопровода: lт=( ГП- Бер)(m1+m2)+bгр+3,

Qт= μ ω(2gz)0.5.

μ=(1/(Σζ+λlT/dT))0,5 – коэф-т расхода,

Σζ=ζрвхзвых – сумма коэф-тов всех местных сопротивлений.

 

11.Шахтный водосброс. Конструкция и расчёт.

Шахтно-башенными наз-ся водосбросы, сливная часть кот. выполн. в виде вертик. или наклон-го ствола-башни или шахты. Различают: башенно-трубчатые, шахтно-туннельные, башенно-туннельные.

Шахт-баш-е водосбросы прим. в составе средне- и низконапорн вод из прудов и водохран-щ ждя опорожн. водоёма и облова рыбы.

При строи-ве гидроузлов с грунт. полтинами на нескальныъ основаниях чаще всего возводят башенно-трубчатые конструкции как наиболее экономичные.

У нас широкое применение получили серийные (типовые) конструкции башенных водосбросов на расход от 20 до 120(160) м/с3 с напором от 4 до 8(12)м. При сравнительно больших расчётн. сбросных расходах(>100м/с3) рационально применять башенные водосбросы с комбинированным эксплуатаци. режимом, при котором часть расхода-(0,5..0,4) Qmax сбр-ся автом. через водослив башни, а часть – через донный водовыпуск, оборуд. глубинными затворами.

Шахтно-башеный водосброс вкл-т след-е части: башню, водоспуск, водоотвод-ю трубу и устр-во н. б. Конструк-е особенности и требования проектирования и эксплуатации иложены на стр.153-165 в работе.

Башня обеспечивает автомат-й сброс воды через водослив и размещение затворов, обор-я и служебного мостика, из которого осущ-ся управл-е режимом работы водоспуска и отвод-го водовода. В плане водослив выполняют круглой, прямоуг., эллипс., полигональной форм. Водоспуск состоит из водоподвод-й трубы, входного оголовка и затвора, распол-го внутри башни и служ-го для управлен-я режимом работы водоспуска. Водоотвод-я труба служит для отвода воды из шахты, поступившей через водосливной порог шахты и водоспуск.

 

 

10.Ковшовый водосброс. Конструкция и расчёт.

В состав входит:

- ковш,

- водоотводящий трубопровод,

- устройство для гашения кинетической энергии потока,

- водоотводящий канал.

1 Гидравлический расчет водоотводящего канала

Водоотводящий канал устраивается за водосбросом и отводит воду в русло реки.

Полученное сечение канала принимаем прямоуг. Гидравлический расчет заключается в определении параметров поперечного сечения канала.

Исходные данные:

Расчётный расход: Qp, м3/с

Уклон дна: i=( 1- 2)/L

Гидравлический расчёт канала выполняем по методу Агроскина, принимаем глубину канала h

Определяем функцию:

По

Проверяем устойчивость русла канала на размыв, для чего определяем фактическую среднюю скорость в канале:

v=Qp/w= Qp/(b+mh)h, м/с

Так как V>[V], то будет наблюдаться размыв канала. Поэтому предусматриваем сборное крепление ж/б плитами.

2 Конструктивный и гидравлический расчет водосброса.

lт=[( г.п.- 1)(m1+m2)+bгр+3)]/Cos30, м

Исходные данные:

Расчётный расход: Qp, м3/с

Расчётный напор на гребне водослива ковша: H, м

Расчётный напор на водосбросе: z, м

Материал труб транзитной части: ж/б

Длина трубопровода: lт, м

L=1,25 K Qp/mб(2g)0.5H3/2

1,25 – коэф., учитывающий возможность загрязнения решётки

K - коэф., учитывающий влияние решётки на входное отверстие ковша

K=(a+c)/a

б - коэф. подтопления водослива, табл.6,

L=1,25 K Qp/mб(2g)0.5H3/2, м

Обозначаем габаритные размеры входной части ковша, приняв очертание прямоугольным.

Принимаем круглое поперечное сечение диаметром.

Определяем скорость воды в трубопроводе:

vт=Qт/wт, м/с

где:

wт – площадь:

wт=πr2

Qт= Qп, м3/с

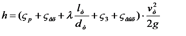
Определяем суммарные потери напора на сооружении.:


=0,3; =0,2

 

 

15. Акведуки. Конструкции и расчет. Акведуки (часть водовода в виде моста), предназначенные для переброски расхода канала через реки, дороги, овраги, суходолы и дру­гие понижения местности, устраивают, если уровень воды в канале зна­чительно превышает отметки пересекаемых препятствий (рис. 26.1). Верхнее строение акведука представляет собой лоток, в котором вода движется с равномерным режимом. Лоток установлен на балочной (на­иболее распространенной в настоящее время), рамной или арочной мо­стовой конструкции. По материалу акведуки бывают железобетонными (моно­литными или чаще сборными), деревянными, металлическими и комбинированными; последние два типа применяют редко. При возведении акведука над глубоким узким оврагам при прочных (скальных) склонах ис­пользуют арочную конструкцию (рис. 26.1, а). Типовые конструкции сборных железобетонных акведуков для ма­лых расходов воды представлены во многих альбомах, разработанных Гипроводхазом и другими проектными организациями. Скорость движе­ния воды в лотке принимается несколько выше скорости в подводящем и отводящем каналах, т. е. 1—2,5 м/с; дальнейшее повышение скорости приводит к увеличению уклона лотка, что на каналах оросительных си­стем ведет к уменьшению возможностей командования площадями. Глубину заложения опор акведука принимают с учетом возможной глу­бины промерзания грунта и максимальной глубины ожидаемого размы­ва водотоком русла (при пересечении акведуком русла реки, канала). Конструкция акведука должна обеспечивать плавное сопряжение входной и выходной частей сооружения с каналом как в плане, так и в вертикальной плоскости. Входную и выходную части обычно проекти­руют в виде соответственно сужающегося и расширяющегося в плане участков, дно отводящего канала и лотка сопрягают наклонным пере­ходным участком. Отвод воды, фильтрующейся из канала в обход соо­ружения и в местах сопряжения входной и выходной частей сооружения с лотком, осуществляют дренажем, устраиваемым несколько ниже мест сопряжения в направлении к откосу склона, что предохраняет склоны от размыва, а опоры от подмыва. Откосы подводящего и отводящего ка­налов обычно укрепляют плитами.

Гидравлический расчет акведука включает в себя расчеты входной части, лотка и выходной части. Гидравлический расчет следует начинать с выбо­ра поперечного сечения и определения гидравлического уклона лотка. Ширину лотка b следует выбирать таким образом, чтобы обеспечить плавное сопряжение в плане лотка и каналов при минимальной длине входной и выходной частей. Глубину в лотке h выбирают, исходя из принятой скорости в лотке и = 1...2,5 м/с, т. е. h=Q/(bv), где Q — рас- в I лотке, м3/с. Уклон лотка определяют по формуле равномерного Движения. Статический расчет акведуков проводят как для мостов соответствую­щего типа. Если опоры и лоток жестко не связаны и работают независи­мо, то расчет их ведут раздельно. Если же лоток и опоры (рамы) пред­ставляют собой монолитную конструкцию, то расчет ведут как для моно­литной железобетонной рамы, образованной опорами — стойками и лот­ками — ригелями. В обоих случаях рассчитывают фундамент под опо­рами, сечение малых лотков принимают полукруглым, больших — с верти- кальными стенками, несущими нагрузку, и криволинейным днищем. Не­достатком таких лотков является коррозия стали (даже оцинкованные лотки служат не более 15 лет), а также большой расход металла.


 







Date: 2015-08-24; view: 3926; Нарушение авторских прав



mydocx.ru - 2015-2026 year. (0.551 sec.) Все материалы представленные на сайте исключительно с целью ознакомления читателями и не преследуют коммерческих целей или нарушение авторских прав - Пожаловаться на публикацию