Главная Случайная страница


Полезное:

Как сделать разговор полезным и приятным Как сделать объемную звезду своими руками Как сделать то, что делать не хочется? Как сделать погремушку Как сделать так чтобы женщины сами знакомились с вами Как сделать идею коммерческой Как сделать хорошую растяжку ног? Как сделать наш разум здоровым? Как сделать, чтобы люди обманывали меньше Вопрос 4. Как сделать так, чтобы вас уважали и ценили? Как сделать лучше себе и другим людям Как сделать свидание интересным?


Категории:

АрхитектураАстрономияБиологияГеографияГеологияИнформатикаИскусствоИсторияКулинарияКультураМаркетингМатематикаМедицинаМенеджментОхрана трудаПравоПроизводствоПсихологияРелигияСоциологияСпортТехникаФизикаФилософияХимияЭкологияЭкономикаЭлектроника






Укажите правильную систему уравнении для преобразования Галилея





Уравнение адиабатического процесса

Уравнение адиабаты идеального газа рV γ= const, TV γ-1= const, T γ p 1-γ= const

Уравнение адиабаты идеального газа рV γ= const TV γ-1= const T γ p 1-γ= const

Уравнение бегущей волны:

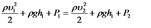
Уравнение Бернулли

Уравнение Бойль-Мариотта , , Т=const

Уравнение Ван-дер-Ваальса

Уравнение второго закона Ньютона через импульс: */ */

Уравнение Дальтона: QUOTE

Уравнение движения материальной точки

Уравнение динамики вращательного движения твердого тела относительно неподвижной оси:

Уравнение Менделеев-Клапейрона для массы т газа

Уравнение неразрывности:

Уравнение Стокса:

Уравнения гармонического колебания.

Условие интерференции света:

Условие интерференционного максимума:

Условие интерференционного минимума:

Условие максимума в дифракционной решетке: /**/ /**/

Условие максимумов в дифракционной решетке: d sinkλ d sink kλ

Условием возникновения механических колебаний являются: сила, направленная к положению равновесия инерция колеблющегося тела сила и инерция колеблющегося тела

Установка для наблюдения колец Ньютона освещается монохроматическим светом, падающим нормально. При заполнении пространства между линзой и стеклянной пластинкой прозрачной жидкостью радиусы темных колец в отраженном свете уменьшились в 1,21раза. Определите показатель преломления жидкости: 1,46 3-1,54

Фазовый переход I рода: сопровождается поглощением теплоты сопровождается выделением теплоты например, плавление, кристаллизация

Фазовый переход II рода: переход характеризуется постоянством объема переход характеризуется постоянством энтропии переход характеризуется изменением теплоемкости

Фазовый переход ІІ рода характеризуются: постоянством объема*/постоянством энтропии*/скачкообразным изменениемтеплоемкости

Физическая величина, определяемая проводимостью однородного линейного проводника единичной длины и единичной площади поперечного сечения: удельная электрическая проводимость измеряется в См/м

Физическая величина, определяемая работой, совершаемой сторонними силами при перемещении единичного положительного заряда: электродвижущая сила

Физические величины для описания волны: амплитуда, смещение фазовая постоянная, период круговая частота, длина волны

Физические величины описывающие колебательные процессы:

Физический смысл универсальной функции Кирхгофа: Описывает спектральную плотность энергетической светимости черного тела.*/Определяет отношение энергетической светимости к поглощательной способности./*/Отношение энергетической светимости к поглощательной способности не зависит от природы тела, она является функцией частоты и температуры.

Форма и объем газов определяются: объем и форма сосудом*/расстояние между частицами большое*/хорошей сжимаемостью

Форма и объем жидкостей определяются: форма сосудом*/жидкости практически не сжимаются*/жидкости легко разделяются

Формула Вульфа-Брэггов: 2d sinθ= kλ 2d sinθ= 2d sinθ=; (k=1, 2, 3,…)

Формула Вульфа-Брэггов: ; (k=1,2,3,.....)

Формула де Бройля для корпускулярно-волнового дуализма: λ=*/λ=**/

Формула де- Бройля: */ */

Формула для давлении света: p= p= N p= (1+)

Формула для периода полураспада: */*/

Формула Комптона:)

Формула Пуазейля:

Формула Эйнштейна для внешнего фотоэффекта. hv=A+ h=A+ e

Фундаментальные свойства электрического заряда: аддитивность инвариантность подчиняется закону сохранения заряда

Частота вращения колеса при равнозамедленном движении за уменьшилась от 300 до 180 мин-1. Определите угловое ускорение колеса в рад/с2?*/ 0,21*/2,1.10-1*/21.10-2

Частота вращения колеса при равнозамедленном движении за уменьшилась от 300 до 180 мин-1. Определите число полных оборотов, сделанных колесом за это время 240*/2,4.102*/0,24.103

Чему равен момент инерции однородного диска относительно оси, проходящей через центр диска, перпендикулярно его плоскости? , ,

Чему равен момент инерции однородного диска относительно оси, проходящей через центр диска, перпендикулярно его плоскости?

Чему равна выталкивающая сила, действующая на тело, погруженное в жидкость или газ? весу жидкости в объеме погруженной части теласиле Архимеда весу газа в объеме погруженной части тела

Чему равна кинетическая энергия вращающегося тела относительно неподвижной оси, если J-момент инерции тела, а - его угловая скорость. , ,


Чему равна отношение средне квадратичной скорости на наиболее вероятной скорости: */1,51/2*/1,2

Чему равно ускорение при равномерном прямолинейном движении тела? а =0,,=0

Через трубу диаметром 2 см в течении 30 минут вытекает 1,53 кг газа. Плотность газа 7,5кг/м3. Найти скорость течения газа. 0,36 м/с. 3610-2 м/с. 36 см/с.

Черное тело нагрели от температуры Т1 = 500 К до Т2=2000 К. Определите как изменилась длина волны, соответствующая максимуму спектральной плотности энергетической светимости. уменшилась на 4,35мкм*/уменшилась на 4,35.10-6 м*/уменшилась на 0,435.10-5 м

Число Рейнольдса:

Чтобы при изменении магнитной индукции от 0,2 до 0,6 Тл в течение 4 мс в катушке с площадью поперечного сечения 50 см2 возбуждалась ЭДС индукции 5 В, она должна содержать количество витков, равное: 10 5+5 2+8

Чтобы сжать буфер вагона на 1 см, нужно приложить силу 30кН, какую силу надо приложить чтобы сжать на 4см. 120кН; 12104Н; 120103Н;

ЭДС самоиндукции в катушке с индуктивностью 2 Гн, сила тока в которой за 0,1 с равномерно уменьшилась от 5 А до 3 А, равна: 40 В 0,04кВ 40 000 мВ

Электрический заряд в проводнике сопротивлением 2 Ом, напряжение на концах которого равномерно возрастает за 4 с от 1 до 5 В, равен: 6 Кл 0,006 кКл 6000 мКл

Электрический заряд в проводнике, сила тока в котором равномерно возрастает за 6 сот 0 до 4А, равен: 12 Кл 0,012 кКл 12000 мКл

Электрическим током считается любое направленное движение: электрических зарядов ионов электронов

Электрическое напряжение на концах участка цепи равно разности потенциалов, если на данном участке цепи отсутствует: устройство, способное создавать и поддерживать разность потенциалов за счет сторонних сил*/*источник ЭДС*/устройство, способное создавать и поддерживать разность потенциалов за счет сил неэлектростатического происхождения

Электрическое сопротивление однородного линейного проводника определяется следующими параметрами: длина и температура площадь поперечного сечения вещество, из которого изготовлен проводник

Электродвижущая сила:

Электрон движется в однородном магнитном поле с индукцией 0,1 Тл по окружности. Угловая скорость вращения электрона равна: */*/*

Электростатическое поле создается положительно заряженной с постоянной поверхностной плотностью 10 бесконечной плоскостью. Чтобы перенести электрон вдоль линии напряженности с расстояния 2 см до расстояния 1 см, надо совершить работу: */*/*/

Энергетическая сила света:/* */ */ Измеряется в Вт/ср

Энергия конденсатора емкостью 0,4 пФ, которому сообщен заряд 4 нКл, равна:

Энергия магнитного поля соленоида индуктивностью 0,5 мГн равна 16 мДж. По соленоиду течет ток силой: 8 А 0,008 кА 8 000 мА

Энергия магнитного поля:

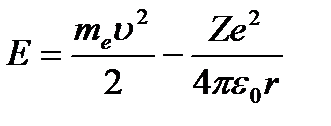
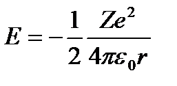
Энергия электрона в атоме

Энергия электрона в атоме: */ */

Эффект Комптона: Упругое рассеяние рентгеновского излучения на свободных электронах вещества с увеличением длин волны.*/Упругое рассеяние на слабосвязанных электронах вещества,иувеличение длины волны фотона.*/Упругое рассеяние коротко волнового электромагнитного излучения на свободных или на слабосвязанных электрона вещества приводящееся уменьшением гастоты падающего фотона.

Явление возникновения ЭДС в одном из контуров при изменении силы тока в другом: взаимоиндукция в основе работы трансформатора


Явление возникновения электрического тока в замкнутом проводящем контуре при изменении потока магнитной индукции, охватываемогоэтим контуром: электромагнитная индукция подчиняется закону Фарадея не зависит от способа изменения магнитного потока

Явление полного внутреннего отражения: Наблюдается при переходе света из оптически более плотной среды в оптически менее плотную среду*/Наблюдается, если угол падения света больше предельного угла полного внутреннего преломления*/Лежит в основе оптоволоконной связи

Явление полного отражения: Если свет распространяется из среды с болшим показателем преломления n1, в среду с меньшим показателем преломления n2. При углах падения, весь падающий свет полностью отражается. Если свет распространяется из оптической более плотной среды в оптической менее плотную среду.

Гамма излучение и его свойства: -излучения, коротковолновые электромагнитные волны испускаемые дочерным ядром.При - излучения А и Z ядро не изменяются и не описываются правилами смещения/- излучение имеет спектр линейчатый







Date: 2015-08-15; view: 545; Нарушение авторских прав



mydocx.ru - 2015-2026 year. (0.235 sec.) Все материалы представленные на сайте исключительно с целью ознакомления читателями и не преследуют коммерческих целей или нарушение авторских прав - Пожаловаться на публикацию