Главная Случайная страница


Полезное:

Как сделать разговор полезным и приятным Как сделать объемную звезду своими руками Как сделать то, что делать не хочется? Как сделать погремушку Как сделать так чтобы женщины сами знакомились с вами Как сделать идею коммерческой Как сделать хорошую растяжку ног? Как сделать наш разум здоровым? Как сделать, чтобы люди обманывали меньше Вопрос 4. Как сделать так, чтобы вас уважали и ценили? Как сделать лучше себе и другим людям Как сделать свидание интересным?


Категории:

АрхитектураАстрономияБиологияГеографияГеологияИнформатикаИскусствоИсторияКулинарияКультураМаркетингМатематикаМедицинаМенеджментОхрана трудаПравоПроизводствоПсихологияРелигияСоциологияСпортТехникаФизикаФилософияХимияЭкологияЭкономикаЭлектроника






Единица измерения магнитной постоянной





Единицы измерения электрической постоянной: Ф/м

Если 2 раза увеличить термодинамическую температуру абсолютно черного тела, то во сколько раз измениться его энергетическая светимость? 16*/42*/32-16

Если интенсивность поляризованного света при прохождении через анализатор уменьшается 4/3 раза, то чему равна угол поляризации? 300 */900-600 1800-1500

Если угол Брюстера равна 600, то чему равна угол преломления? 300*/900-600*/ 1800-1500

Жидкость течет по трубе с переменным сечением без трения. В каком сечении трубы давление в жидкости максимально? в самом широком сечении трубы в сечении с максимальным диаметром в с широким сечением или максимальным диаметром

За промежуток времени 10 c точка прошла половину окружности радиусом 160 см. Вычислить за это время среднюю скорость точки: 50 см/с 0,5 м/с 5дм/с

За промежуток времени 10 c точка прошла половину окружности радиусом 160 см. Вычислить за это время среднюю скорость точки: 50 см/с 0,5 м/с 5дм/с

Зависимости между λ, и D:

Зависимость пройденного телом пути от времени задается уравнением Определите время после начала движения, если ускорения тела 2 м/с2. 10 с*/1,0.10 с*/0,1.102с

Зависимость пройденного телом пути от времени задается уравнением . Ускорения тела 2 м/с2. Определите средние ускорения тела за 10с. 1,1м/с2*/0,11.10 м/с2*/11.10-1 м/с2

Закон Бугера:

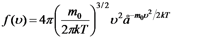
Закон Максвелла о распределении молекул идеального газа по скоростям

Закон Ома:

Закон преломления света: луч падающий, луч преломленный и перпендикуляр, проведенный к границе раздела в точке падения, лежат в одной плоскости. отношение синуса угла падения к синусу угла преломления есть величина постоянная для данных сред. показатель преломления второй среды относительно первой – относительный показатель преломления.

Закон радиоактивного распада: N=N= ln N- ln

Закон смещения Вина. b= T=

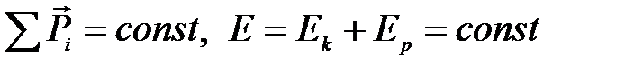
Закон сохранения импульса является:*/ следствием определенного свойства симметрии пространства*/однородности пространства*/при параллельном переносе в пространстве замкнутый системы тел ее физическое свойства не изменяется

Закон сохранения импульса: , ,

Закон сохранения механической энергии является: следствием однородности времени*/физические законы инвариантны относительно выбора начала отсчета времени*/например, при свободном падении тела в поле сил тяжести его скорость и пройдённый путь зависят лишь от начала скорости и времени падении тела

Закон сохранения момента импульса связан: со свойством симметрии пространства*/со свойством симметрии пространства – его изотропности*/с инвариантностью физических законов относительно выбора направления осей координат система отсчета

Закон сохранения момента импульса твердого тела

Закон сохранения момента импульса:

Закон сохранения энергии:

Закон Фика в явление диффузии, Jт - плотность потока массы:

Закон Фурье по переносу энергии в форме теплоты, J E - плотность теплового потока:

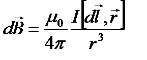
Закон, который определяет магнитную индукцию поля, создаваемого проводником с током, на некотором расстоянии от него: законБио-Савара-Лапласа

Закон, описывающий взаимодействие точечных неподвижных электрических зарядов: закон Кулона

ЗаконБугера: I = I= I= 2,27

Закономерности - распада: → → →

Закономерности - распада: Выполняется правило смещения →

Законы сохранения в ядерных реакциях: Закон сохранения зарядов.Закон сохранения масс*/Закон сохранения энергии

Идеал газ совершает цикл Карно. Полученные количество теплоты от нагревателя равна Q1=42 кДж. Температура нагревателя Т13 раза больше, чем температура холодильника. Газ совершает какую работу: 28 кДж. 28000Дж 28103Дж.

Из провода изготовлена катушка длиной 6,28 см и радиусом 1 см. Катушка содержит 200 витков, сила тока в катушке 1 А. Магнитный поток внутри катушки: 1,256 мкВб 1256 нВб

Известна зависимость модуля скорости частицы от времени: (a, b – постоянные величины). Чему равна сила, действующая на частицу?

Изменение внутренней энергии одноатомного газа:

Изменение внутренней энергии одноатомного газа:

Изменение энтропии идеального газа в изотермическом процессе:

Интерферометры: Майкельсона. Жамена. Линника.

К ободу однородного диска радиусом 0,2 м приложена касательная сила 5 Н. Определить угловое ускорение, с которым вращается диск, если его момент инерции 0,1кгм2? 10 рад/с2 1,0.101 рад/с2 0,1.102рад/с2

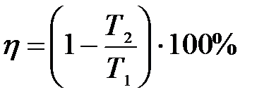
К.П.Д. цикла Карно

Как изменяется длина волны света, когда свет с вакуума проходит на прозрачную среду с абсолютным показателем преломления n =2: обратно пропорционально к абсолютному показателю преломления среды Уменьшается 2 раза


Какая из выражении соответствует абсолютному упругому столкновению тел

Какой длине волны соответствует максимум спектральной плотности энергетического излучения (rλ.T max ) абсолютно черного тела при температуре t=00С? 10,6мк10,610,6103мм

Квантовые числа: n-главное квантовое число l-орбитальное квантовое число m-магнитное квантовое число

Кинематическое уравнение движения материальной точки определяет зависимость: координат от времени

Кинетическая энергия тела 100 Дж и импульс тела 40 кг-м/с. Найти массу тела? 8кг. 8103г. 0,08102кг.

Кинетическая энергия тела 100 Дж и импульс тела 40 кг-м/с. Найти массу тела. тең? 8кг. 8103г. 0,08102кг.

Колесо радиусом 0,1 м вращается так, что зависимость угла поворота радиуса колеса от времени дается уравнением φ = A + Bt + Ct2 + Dt3, где В = 2 рад/с, C= 2 рад/с2,D= 3 рад/с3. Найти линейную скорость точек, лежащих на ободе колеса, через 2 с после начала движения. 4,6 м/с*/46.10-1 м/с*/0,46.101 м/с

Консервативными называются силы: работа которых не зависит от формы путиработа которых не зависит от траектории работа которых не зависит от формы пути и траектории

Коэффициенты диффузии и внутреннего трения при некоторых условиях равны соответственно 1,42 м2/с; и 8,5 мкПа. Определите концентрацию молекул воздуха при этих условиях. 1,25м-3*/12,5м-3*/125м-3

Магнитная восприимчивость: безразмерная величина для диамагнетиков отрицательна для парамагнетиков положительна

Магнитный поток в контуре за 3 мс уменьшился с 27 мВб до 0. Среднее значение ЭДС в контуре равно: 9 В 0,009 кВ 9 000 мВ

Магнитный поток внутри контура площадью 30, расположенного перпендикулярно полю, равен 0,6 мВб. Индукция поля внутри контура равна: 0,2 Тл 200 мТл 0,0002кТл

Магнитный поток через поверхность, ограниченную замкнутым проводящим контуром, увеличивается прямо пропорционально времени. Сила индукционного тока, возникающего в этом контуре: остается величиной постоянной подчиняется формуле не изменяется со временем

Масса Фотона: m= m=hν m=

Материальная точка массой 5 г совершает гармонические колебания с частотой 0,5 Гц. Амплитуда колебаний 3 см. Максимальная сила, действующая на точку, равна: 1,48.10-3 Н*/14,8.10-4 Н*/148.10-5 Н

Материальная точка массой 5 г совершает гармонические колебания с частотой 0,5 Гц. Амплитуда колебаний 3 см. Максимальная сила, действующая на точку, равна: 1,48·10-3 Н*/14,8·10-4 Н*/0,148·10-2 Н*/

Методы наблюдения интерференции свете: Метод Юнга. Зеркала Френеля. Бипризма Френеля.

Механическая кинетическая и потенциальная энергия:

Модели ядер: Капельная модель. Оболочечная модель Обобщенная модель

Модель идеального газа: Собственный объем молекул газа пренебрежительно мал по сравнению с объмом сосуда Между молекулами газа отсутствует силы взаимодействия. Столкновения молекул газа между собой и со стенками сосуда абсолютно упругие.

Момент импульса:

Момент инерции однородного тела ,,

Момент инерции твердого тела , ,

Момент инерции шара массой 2 кг, относительно оси проходящей через центр масс, равен 6 кгм2. Момент инерции этого шара относительно точки О, находящейся на расстоянии 5 м от центра шара, равен: 56 кгм2, 5,6.101 кг м2, 0,56.102 кг.м2


Момент инерции шара массой 2 кг, относительно оси проходящей через центр масс, равен 6 кгм2. Момент инерции этого шара относительно точки О, находящейся на расстоянии5 м от центра шара, равен: 56 кгм2*/5,6.101 кг м2*/0,56.102 кг м2

Момент силы:

Мощность развиваемой силой:

На грань кристалла падает параллельно рентгеновские лучи с длиной волны 500 пм. Межплоскостное расстояние атомов в кристалле 500 пм. Под каким углом наблюдается максимум первого порядка? 300, , 600-300

На грань кристалла параллельно падает рентгеновские лучи с длиной волны 500 пм. Первый максимум наблюдается под углом 300. Найти межплоскостное расстояние атомов кристалла: 500 пм/50010-12м/510-10м

На грань кристалла параллельно падает рентгеновские лучи. Первый максимум наблюдается под углом 300. Межплоскостное расстояние атомов кристалла 500 пм. Найти длину волны рентгеновских лучей: 500 пм50010-12м510-10м

На линзу с показателем преломления 1,55 нормально падает монохроматический с длиной волны 0,55 мкм. Для устранения потерь отраженного света на линзу наносится тонкая пленка. Определите толщину пленки: 0,111 мкм 0,111.10-6 м 111 нм

На металлической сфере радиусом 15 см находится заряд 2 нКл. Напряженности электростатического поля на расстояниях 15 см и 20 см от центра сферы соответственно равны: 800 В/м; 450 В/м*/0,8кВ/м; 0,45 кВ/м*/800 Н/Кл; 450 Н/Кл

На плоскопараллельную стеклянную пластину с показательем преломления и толщиной 6см свет падает под углом 350. Нужно определить смещение луча вышедшего от пластины: 1,41 см*//14,1 мм*/0,0141м

На проводник длиной 0,5 м, помещенный в однородное магнитное поле с индукцией 0,4 Тл, действует сила 0,2 Н. Сила тока в проводнике, расположенного под углом к линиям магнитной индукции, равна: 2 А 0,002 кА 2000 мА

На проводник с током силой 1,5 А, помещенный в однородное магнитное поле с индукцией 4 Тл, действует сила 10 Н. Проводник расположен под углом к линиям магнитной индукции. Длина активной части проводника равна: 2,38 м 238 см 2380 мм

На стеклянный клин с показателем преломления n =1,5 нормально падает монохроматический свет с длиной волны =689нм. Определите расстояние между двумя соседними интерференционными минимумами в отраженном свете, если угол между поверхностями клина равно 0,4/: 2 мм 0,2 см 2.10-3 м

Найти угол поляризации , если интенсивность поляризованного света при прохождении через анализатор уменшается в 4/3 раза: 300900-600 1800-1500

Найти угол поляризации , если интенсивность поляризованного света при прохождении через анализатор уменшается в 4 раза: 600900-3001800-1200

Найти угол преломления, если уголь Брюстера равна 600: 300/900-600/ 1800-1500


Напряженность поля, создаваемого диполем с электрическим моментом 1 на расстоянии 25 см от центра диполя в направлении, перпендикулярном оси диполя, равна: 576 В/м*/576 Н/Кл*/0,576 кВ/м

Напряженность электростатического поля, создаваемого точечным электрическим зарядом 8 мкКл в вакууме на расстоянии 60 см от него, равна:

Некоторые опыты подверждающие МКТ Броуновские движение Опыт Штерна Опыт Ламберта

Нормальная дисперсия убывает с увеличением n увеличивается с увеличением n обнаруживается в прозрачных веществах

Обмотка электромагнита, находясь под постоянным напряжением, имеет сопротивление 15 Ом и индуктивность 0,3 Гн. Время, за которое в обмотке выделится количество теплоты, равное энергии магнитного поля в сердечнике, равно: 0,01 с/10 мс/

Обобщенная формула Бальмера: ν=R (m=1,2,3,4,5,6…., n=m+1, m+2,…) (m=1,2,3,4,5,6…., n=m+1, m+2,…) (m=1,2,3,4,5,6…., n=m+1, m+2,…)

Определение момента силы

Определение момента силы ,,

Определите момент инерции материальной точки массой 0,3 кг относительно оси, отстоящей от точки на 20 см. 0,012 кг м2, 0,12.10-1 кг м2, 1,2.10-2 кг.м2

Определите момент инерции материальной точки массой 0,3 кготносительно оси, отстоящей от точки на 20 см. 0,012 кг м2*/0,12.10-1 кг м2*/1,2.10-2 кг м2

Определите оптическую силу линзы с фокусным расстоянием 25 см: 4дптр дптр дптр

Определите постоянную дифракционной решетки, если она в первом порядке разрешает две спектральные линии калия (λ = 578 нм и λ = 580 нм). Длина решетки 1см.: 34,6 мкм 34,6.10-6 м 0,0346.10-3 м

Определите число штрихов на 1мм дифракционной решетки, если углу соответствует максимум пятого порядка для монохроматического света с длиной волны 0,5 мкм.: 400 мм-1*/0,4 м-1*/40 см-1

Оптическая разность хода интерференции света в тонких пленках: */*/* /*/*

Оптическая разность хода при интерференции на тонких пленках:

Опыт Франка и Герца: Доказали дискретность значений энергии атомов.В атомах существуют стационарные состояния.Справедливость первого постулата Бора.

Основное уравнение молекулярно-кинетической теории

Основное уравнение молекулярно-кинетической теории

Основные законы геометрической оптики: Закон независимости световых пучков. Закон отражения света. Закон преломления света.

Особенность кулоновской силы: зависит от величины зарядов может быть положительной или отрицательной центральная сила

Первая космическая скорость находится по формуле (где r – радиус Земли):

Первое начало термодинамики

Первый закон Ньютона - это закон инерции равномерное и прямолинейное движение равномерное и прямолинейное движение или состояние покоя

Первый постулат Бора: В стационарном состоянии атома, момент импульса электрона: =n, (n=1,2,3,…)*/В стационарном состоянии атома соответствуют стационарные орбиты, по которым двужутся электроны.*/Движение электронов по стационарным орбитом не сопровождается излучением кванта света.

Плотность тока:

По алюминиевому проводнику объемом 10 течет постоянный электрический ток. Удельное сопротивление алюминия 26. За 5 минут в проводнике выделилось количество теплоты 2,3 кДж. Напряженность электрического поля в проводнике равна: 0,141 В/м*/0,141 Н/Кл*/141 мВ/м

По касательной к шкиву маховика в виде диска массой 5 кгприложена сила 2 Н. Определите кинетическую энергию маховика через 5 с после начала действия силы. Силой трения пренебречь. 20 Дж*/2,0.101 Дж*/0,2.102Дж

По круговому витку радиусом 40 см циркулирует ток 4 А. Магнитная индукция в центре витка равна:

По соленоиду индуктивностью 0,2 Гн течет ток силой 10 А. Энергия магнитного поля соленоида равна: 10 Дж 0,01 кДж 10 000 мДж

По соленоиду индуктивностью L течет ток силой I. При увеличении числа витков соленоида в 3 раза:

Поглощается или выделяется энергия при ядерной реакции ? Определите эту энергию: 18,4 МэВ */18,4.106 эВ */184.105 эВ

Поглощение (абсорбция) света: В результате поглощения интенсивность света при прохождении через вещество уменьшается. Поглощение света в веществе описываетсы законом Бугера. В результате поглощения уменьшается энергия свтовой волны.

Показатель преломления среды n = 1,5. Определите скорость света этой среды: 200106

Поле, создаваемое неподвижными электрическими зарядами: электростатическое поле характеризуется напряженностью подчиняется принципу суперпозиции

Полная энергия колебательного движения.,,

Полная энергия колеблющегося тела:

Полый железный шар () весит воздухе 5 Н, а воде () – 3Н. Определите объем внутренней полостей шара (см3): 139*/1,39.102*/13,9.10

Поляризация света: Свет, в котором колебания светового вектора упорядочены.Свет, в которым преобладает направленные колебания вектора.Свет, естественный прошедший через поляризатор.

Постоянная дифракционной решетки d =2,5мкм, Определите угловую дисперсию для длины волны =589Нм в первом порядке спектра. рад/м рад/м рад/м

Поток энергии из щели печи плавления равна Фе=34 Вт. Площадь щели равна S=6 см2. Найти температуру печи. 1кК1000 К103К

При m=const,определите соответствие процессов (1-4). 2 T=0, U=0. 4 V=0, А=0. 3 p=0, A=pV.

При адиабатическом процессе Теплообмен между системой и окужающей средой отсутствует Температура системы понижаются. Протекает при постоянной энтропии.

При внешнем сопротивлении 50 Ом сила тока в цепи равна 0,2 А, а при внешнем сопротивлении 110 Ом сила тока равна 0,1 А. Ток короткого замыкания источника ЭДС равен: 1,2 А*/0,0012 кА*/1200 мА

При переходе электрона в атоме водорода из стационарного состояния n в стационарное состояние m испускается (поглощается) квант энергий: hν = = ()= hR()

При ударе абсолютно упругих тел сохраняются законы: импульса и энергии*/ */

Прибор, действие которого основано на электромагнитных явлениях трансформатор генератор соленоид

Признаки поперечных волн: направление колебания распространения волны перпендикулярны друг к другу направление колебания и распространения волны перпендикулярны друг к другу

Признаки продольных волн: направление колебания распространение волны совпадает направлением скорости направление колебания и распространения волны совпадают

Принцип Гюйгенса-Френеля: Решает задачу о направлении распространения волнового фронта и интерференции второчных волн. Световая волна, возвуждаеная каким-либо источником S, может быть результатом суперпозиции вторичных волн. Волны распространяющиеся от источника, являются результатом интерференции всех когерентных вторичных волн.

Проводникприсоединен к источнику питания с ЭДС 12 Ви внутренним сопротивлением 1 Ом. По проводнику течет ток силой 3 А. Электрическое сопротивление проводника равно: 3 Ом 0,003 кОм 3000 мОм

Прямой провод длиной4 м, по которому течет ток силой 6 А, расположен в однородном магнитном поле с индукцией 0,25 Тл, и образует угол 300 с линиями индукции. Сила, действующая на проводник, равна: 3 Н 0,003 кН 3000 мН

Прямоугольная катушка из 1000 витков со сторонами 5 и 4 см находится в однородном магнитном поле индукцией 0,5 Тл. Сила тока в катушке 2 А. Максимальный вращающий момент, действующий на катушку, равен:

Путь s, пройденный телом за время t, определяется формулой:

Путь S, пройденный телом за время t, при равномерном движении: , ,

Работа газа в адиабатическом процессе

Работа силы через криволинейной интеграл:

Радиус четвертой зоны Френеля, для плоского волнового фронта r4 =3мм. Определите радиус шестой зоны Френеля. 3,69 мм36,9 см0,0369 м

Радиус-вектор материальной точки равен

Размерность момента силы в СИ , ,

Разность потенциалов между двумя точками поля, при перемещении между которыми точечного электрического заряда 5 нКл совершается работа 2 мДж, равна:

Распределение Больцмана При постоянной температуре плотность газа больше там, где меньше потенциальная энергия его молекул.Температура газа постоянной;На молекулы газа внешние силы не действует;

Самолет описывает петлю Нестерова радисом 80м. Какова должна быть наименьшая скорость самолета, чтобы летчик не оторвался от сиденья в верхней частей петли (м/.: 28*/0,28.102*/0,028.103

Свойства волн де Бройля: где - фазовая скорость волн де Бройля.скорость волн де Бройля, скорость гастицы. где - групповая скорость фотона.

Свойства волновой функций (функции): функция характерезует вероятность обнаружения действия микрочастицы в элементе обьема dv.*/должна быть конечной (однозначной и непрерывной (вероятность не может изменяться скачком).*/Производные (должны быт непрерывной.

Серия Пашена: ν=R (n=4,5,6,…) ν=R (n=5,6,7,…) ν=R (n=6,7,8,…)

Сила взаимодействия двух точечных электрических зарядов 2 нКл и 3 нКл, находящихся в вакууме на расстоянии 3 см друг от друга, равна:

Сила внутреннего трения по закону Ньютона:

Сила Лоренца, действующая на точечный электрический заряд 5 пКл, влетевший со скоростью в однородное магнитное поле с индукцией 4 Тл под углом к линиям индукции, равна:

Сила Лоренца, действующая со стороны магнитного поля на движущиеся заряженные частицы: не совершает работу перпендикулярна векторам и зависит от скорости и заряда частицы

Сила тока в проводнике сопротивлением 120 Ом равномерно возрастает от 0 до 5 А за 15 с. За это время в проводнике выделится количество теплоты: 15 кДж 15000 Дж 0, 015 МДж

Сила трения скольжения определяется по формуле: , ,

Сила, с которой магнитное поле действует на элемент проводника с током: сила Ампера

Силовое поле в пространстве, окружающем токи и постоянные магниты: магнитное поле действует на проводники с током или постоянные магниты характеризуется вектором магнитной индукции

Система двух равных по модулю разноименных точечных зарядов, расстояние между которыми значительно меньше расстояния до рассматриваемой точки поля: электрический диполь характеризуется плечом диполя имеет электрический момент

Скорость распространения звуковых волн в газах:

Совершив работу, равную 20 Дж, удается сжать пружину на 2 см. Определите работу, которую надо выполнить, чтобы сжать пружину на 4 см: 80 Дж 8,0.101 Дж 0,8.102 Дж

Соленоид длиной 0,5 м содержит 1000 витков. Сопротивление обмотки 120 Ом, напряжение на ее концах 60 В. Магнитная индукция внутри соленоида равна:*/ 1,26мТлТл*/

Соотношение неопределенностей Гейзенберга: и*/и*/и

Спин электрона и спиновое квантовое число: Собственный неуничтожимый механически момент импульса. Квантовая величина, это внутреннее свойства электрона, подобное его зарядку и массе. У спина нет классического аналого и электрону соответствует собственный магнитный момент

Средняя арифметическая скорость молекул

Тело движется ускорением 0,05 м/с², при этом прилагается сила 1000Н. Найти массу тела: 20 т 20103кг 2104кг

Тело массой 16 кг закреплено на пружине с жесткостью 100 Н/м. Найти частоту собственных колебаний тела. 2,5 c-1*/25Гц*/0,025Гц

Тело массой 2 кг движется со скоростью 3 м/с. Какую работу надо выполнить, чтобы увеличить скорость тела до 4 м/с? 7 Дж 0,7.101 Дж 70.10-1 Дж

Температура комнаты объемом 70 м3равна 280 К. При нагревании температура комнаты стало296 К. Если давления постоянной и равна 100 кПа, найти работу расширения газа: 400 кДж. */4105Дж*/400103Дж

Теорема Штейнера

Тепловая машина работает по циклу Карно. Полученные количество теплоты от нагревателя 4,2кДж, совершенная работа 1,7кДж.Температура холодильника 200С. Чему равна температура нагревателя: 492 К. 4,92102К.

Термический КПД тепловой машины:

Термодинамические параметры Давление. Объем. Температура.

Точка равномерно движется по окружности. При этом: угловая скорость является постоянной тангенциальная составляющая линейной скоростей является постоянной

Третий закон Ньютона: , ,

Трубка Пито позволяет опрделить: Скорости потока жидкости Скорость потока газа Скорость потока газа и жидкости

Угловая скорость колеса 10 π рад/с. Найти частоту его вращения. 5 с -1 0,5.101 с -1 500.10-2 с -1

Укажите величину угла между угловой и линейной скоростью какой-либо точки твердого тела, вращающегося вокруг закрепленной оси. 900 , Прямой,

Укажите основную формулу вращательного движения, если принять - уголовое ускорение; J - момент инерции тела M=J ,M=J,M=J







Date: 2015-08-15; view: 1071; Нарушение авторских прав



mydocx.ru - 2015-2026 year. (1.606 sec.) Все материалы представленные на сайте исключительно с целью ознакомления читателями и не преследуют коммерческих целей или нарушение авторских прав - Пожаловаться на публикацию