Главная Случайная страница


Полезное:

Как сделать разговор полезным и приятным Как сделать объемную звезду своими руками Как сделать то, что делать не хочется? Как сделать погремушку Как сделать так чтобы женщины сами знакомились с вами Как сделать идею коммерческой Как сделать хорошую растяжку ног? Как сделать наш разум здоровым? Как сделать, чтобы люди обманывали меньше Вопрос 4. Как сделать так, чтобы вас уважали и ценили? Как сделать лучше себе и другим людям Как сделать свидание интересным?


Категории:

АрхитектураАстрономияБиологияГеографияГеологияИнформатикаИскусствоИсторияКулинарияКультураМаркетингМатематикаМедицинаМенеджментОхрана трудаПравоПроизводствоПсихологияРелигияСоциологияСпортТехникаФизикаФилософияХимияЭкологияЭкономикаЭлектроника






Решение. Прямая пересекает прямую в точке





Прямая пересекает прямую в точке . Плоскости и пересекаются по прямой .

 

Из точки опустим перпендикуляр на прямую , тогда отрезок (проекция ) перпендикулярен прямой . Угол является линейным углом двугранного угла, образованного плоскостями и .

 

Поскольку , получаем:

 

 

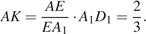
Из подобия треугольников и находим:

 

 

В прямоугольном треугольнике с прямым углом : ; ; , откуда высота

 

 

.

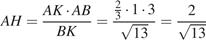
Из прямоугольного треугольника с прямым углом получаем:

 

 

.

Ответ: .

19. C 4 № 503002. Биссектриса угла ADC параллелограмма ABCD пересекает прямую AB в точке E. В треугольник ADE вписана окружность, касающаяся стороны AE в точке K и стороны AD в точке T.

 

а) Докажите, что прямые KT и DE параллельны.

б) Найдите угол BAD, если известно, что AD = 6 и KT = 3.







Date: 2015-07-25; view: 742; Нарушение авторских прав



mydocx.ru - 2015-2026 year. (1.126 sec.) Все материалы представленные на сайте исключительно с целью ознакомления читателями и не преследуют коммерческих целей или нарушение авторских прав - Пожаловаться на публикацию