Главная Случайная страница


Полезное:

Как сделать разговор полезным и приятным Как сделать объемную звезду своими руками Как сделать то, что делать не хочется? Как сделать погремушку Как сделать так чтобы женщины сами знакомились с вами Как сделать идею коммерческой Как сделать хорошую растяжку ног? Как сделать наш разум здоровым? Как сделать, чтобы люди обманывали меньше Вопрос 4. Как сделать так, чтобы вас уважали и ценили? Как сделать лучше себе и другим людям Как сделать свидание интересным?


Категории:

АрхитектураАстрономияБиологияГеографияГеологияИнформатикаИскусствоИсторияКулинарияКультураМаркетингМатематикаМедицинаМенеджментОхрана трудаПравоПроизводствоПсихологияРелигияСоциологияСпортТехникаФизикаФилософияХимияЭкологияЭкономикаЭлектроника






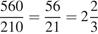
Решение. Всего привезли 280 2 = 560 учебников по геометрии





Решение.

Всего привезли 280 2 = 560 учебников по геометрии. В книжном шкафу помещается 30 7 = 210 учебников. Разделим 560 на 210:

 

.

 

Значит, полностью можно будет заполнить 2 шкафа.

 

Ответ: 2.

Ответ: 2

Решение.

Учеников начальной школы 800 0,3 = 240, а учеников средней и старшей школы — 800 − 240 = 560. Значит, немецкий язык в школе изучают 560 0,2 = 112 учеников.

 

Ответ: 112.

Ответ: 112

 

 

Решение.

Из графика видно, что сила натяжения достигает 150 кгс при угле наклона 45 градусов.

 

Ответ: 45.

Ответ: 45

Решение.

Один моток пряжи весит 100 г., следовательно, на свитер нужно 8 мотков шерсти.

 

Рассмотрим два варианта.

 

Если покупать готовую пряжу красного цвета, то стоимость свитера будет 80 8 = 640 руб.

 

На неокрашенную пряжу нужно потратить 50 8 = 400 руб. Но на окраску пряжи потребуется 2 пакетика краски по 20 руб., то есть еще 40 руб. Итого на свитер из самостоятельно окрашенной пряжи потратится 440 руб.

 

Второй вариант дешевле, чем первый.

 

Ответ: 440.

Ответ: 440







Date: 2015-07-25; view: 445; Нарушение авторских прав



mydocx.ru - 2015-2026 year. (0.853 sec.) Все материалы представленные на сайте исключительно с целью ознакомления читателями и не преследуют коммерческих целей или нарушение авторских прав - Пожаловаться на публикацию