Главная Случайная страница


Полезное:

Как сделать разговор полезным и приятным Как сделать объемную звезду своими руками Как сделать то, что делать не хочется? Как сделать погремушку Как сделать так чтобы женщины сами знакомились с вами Как сделать идею коммерческой Как сделать хорошую растяжку ног? Как сделать наш разум здоровым? Как сделать, чтобы люди обманывали меньше Вопрос 4. Как сделать так, чтобы вас уважали и ценили? Как сделать лучше себе и другим людям Как сделать свидание интересным?


Категории:

АрхитектураАстрономияБиологияГеографияГеологияИнформатикаИскусствоИсторияКулинарияКультураМаркетингМатематикаМедицинаМенеджментОхрана трудаПравоПроизводствоПсихологияРелигияСоциологияСпортТехникаФизикаФилософияХимияЭкологияЭкономикаЭлектроника






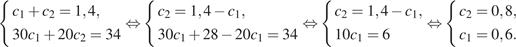
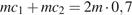
Решение. Пусть концентрация первого раствора кислоты – , а концентрация второго –





Пусть концентрация первого раствора кислоты – , а концентрация второго – . Если смешать эти растворы кислоты, то получится раствор, содержащий 68% кислоты: . Если же смешать равные массы этих растворов, то получится раствор, содержащий 70% кислоты: . Решим полученную систему уравнений:

 

Поэтому

Ответ: 18.

Ответ: 18

Решение.

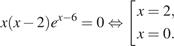
Найдем производную заданной функции:

 

Найдем нули производной:

 

Определим знаки производной функции и изобразим на рисунке поведение функции:

 

Искомая точка максимума .

Ответ: 0.

Ответ: 0

Решение.

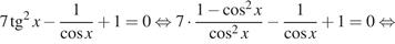
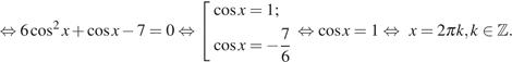
а) Решим уравнение

 

 

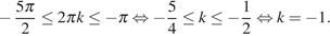
б) Найдем корни, лежащие в заданном отрезке, решая двойное неравенство:

 

 

Тогда искомый корень .

 

Примечание.

Отобрать корни можно, используя тригонометрическую окружность (см. рис.).

 

 

Ответ: а) ; б) .

 







Date: 2015-07-25; view: 464; Нарушение авторских прав



mydocx.ru - 2015-2026 year. (0.883 sec.) Все материалы представленные на сайте исключительно с целью ознакомления читателями и не преследуют коммерческих целей или нарушение авторских прав - Пожаловаться на публикацию