Главная Случайная страница


Полезное:

Как сделать разговор полезным и приятным Как сделать объемную звезду своими руками Как сделать то, что делать не хочется? Как сделать погремушку Как сделать так чтобы женщины сами знакомились с вами Как сделать идею коммерческой Как сделать хорошую растяжку ног? Как сделать наш разум здоровым? Как сделать, чтобы люди обманывали меньше Вопрос 4. Как сделать так, чтобы вас уважали и ценили? Как сделать лучше себе и другим людям Как сделать свидание интересным?


Категории:

АрхитектураАстрономияБиологияГеографияГеологияИнформатикаИскусствоИсторияКулинарияКультураМаркетингМатематикаМедицинаМенеджментОхрана трудаПравоПроизводствоПсихологияРелигияСоциологияСпортТехникаФизикаФилософияХимияЭкологияЭкономикаЭлектроника






Дифракция частично когерентного излучения на отверстии





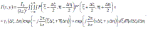
Рассмотрим случай сравнительно часто встречающийся на практике - падающее излучение является частично когерентным. Предположим, что частично когерентная квазимонохроматическая волна падает на непрозрачный экран с отверстием. Отверстие можно описать амплитудной функцией пропускания вида

в остальной области 1,, на поверхности t,, которая, в общем случае, является комплексной.

Необходимо найти распределение интенсивности в плоскости экрана, расположенного на расстоянии z параллельно плоскости отверстия.

Учитывая общее соотношение между взаимной интенсивностью падающей волны и прошедшей

где Ji, Jt − соответственно взаимная интенсивность падающей и прошедшей волн, рассмотрим распределение интенсивности в области наблюдения, считая, что размер отверстия и области наблюдения намного меньше расстояния от плоскости отверстия до плоскости наблюдения.

Заменим амплитудную функцию пропускания tА отверстия функцией "зрачка" Ρ(ξ,η), которую для общности мы считаем комплексной и получим следующее выражение

Упростим данное выражение, сделав предположение, что функция взаимной интенсивности может быть представлена в форме

где γi - комплексный коэффициент когерентности. Данное приближение справедливо, например, в схеме, где свет некогерентного источника достигает отверстия, проходя через конденсорную систему.

В параксиальном приближении можно воспользоваться следующим выражением

Здесь использованы обозначения

Запишем выражение для интенсивности

Предположим опять, что z не меньше геометрического среднего из расстояний до области дальнего поля при соответствующих размерах отверстия и площади когерентности:

Это позволяет нам опустить первый экспоненциальный множитель, что приводит к следующему выражению

где R - автокорреляционная функция комплексной функции зрачка P, которая по определению равна:

.

Таким образом, распределение интенсивности I(x,y) в дифракционной картине можно найти, выполнив двумерное преобразование Фурье произведения функций R и γi.

Рассмотрим теперь более подробно условия, наложенные на удаление области наблюдения в зависимости от области рассмотрения в плоскости объекта дифракции

Во-первых, можно показать, что необходимость наложения данного условия отпадает, если в контакте с плоскостью отверстия находится собирающая линза с фокусным расстоянием f = z. Если линза отсутствует, то этим условиям удовлетворить гораздо труднее, поскольку здесь не сделано предположение, что площадь когерентности намного меньше площади источника.

Во вторых, если D - максимальный линейный размер отверстия, а dc - максимальный линейный размер области когерентности на апертуре, то требуемые условия будут выполняться, когда

.

Условие z > 2D2/λ идентично условию дифракции Фраунгофера. Это условие накладывается, если падающее на отверстие излучение приближается к полностью когерентному.

Физический смысл данной теоремы лучше всего уяснить, рассматривая предельные случаи.

1. Пусть отверстие освещается плоской волной, падающей нормально (такое освещение является полностью когерентным). Следовательно, комплексный коэффициент когерентности γi равен 1 и мы получаем

Результат, получаемый на основании данной теоремы, должен полностью соответствовать результату, получаемому в соответствии дифракционной формулой Фраунгофера для интенсивности

2. Пусть падающее излучение имеет площадь когерентности много меньшую чем размер отверстия. В этом случае автокорреляционная функция R в пределах всей апертуры (в пределах всей области значений (Δξ,Δη), для которых γi ≠ 0) имеет примерно постоянное значение равное площади отверстия.

Следовательно, во втором случае, форма наблюдаемой дифракционной картины распределения интенсивности определяется, в основном, комплексным коэффициентом когерентности γi и практически не зависит от формы отверстия при условии, что D >> dс. В промежуточных случаях распределение интенсивности I(x,y) определяется сверткой Фурье-образов величин R и γi.

В этом случае происходит "сглаживание" дифракционной картины по мере постепенного уменьшения площади когерентности.

Рис. 6.8. Картина дифракции на круглом отверстии. Параметр С – отношение площади круглого отверстия к площади когерентности

Рис. 6.9. Примеры распределения амплитуды поля для одномерного случая и вид автокорреляционной функции зрачка


Как следует из приведенного выше рисунка, автокорреляционная функция зрачка существенно зависит от вида распределения поля.







Date: 2015-08-07; view: 499; Нарушение авторских прав



mydocx.ru - 2015-2026 year. (2.872 sec.) Все материалы представленные на сайте исключительно с целью ознакомления читателями и не преследуют коммерческих целей или нарушение авторских прав - Пожаловаться на публикацию