Главная Случайная страница


Полезное:

Как сделать разговор полезным и приятным Как сделать объемную звезду своими руками Как сделать то, что делать не хочется? Как сделать погремушку Как сделать так чтобы женщины сами знакомились с вами Как сделать идею коммерческой Как сделать хорошую растяжку ног? Как сделать наш разум здоровым? Как сделать, чтобы люди обманывали меньше Вопрос 4. Как сделать так, чтобы вас уважали и ценили? Как сделать лучше себе и другим людям Как сделать свидание интересным?


Категории:

АрхитектураАстрономияБиологияГеографияГеологияИнформатикаИскусствоИсторияКулинарияКультураМаркетингМатематикаМедицинаМенеджментОхрана трудаПравоПроизводствоПсихологияРелигияСоциологияСпортТехникаФизикаФилософияХимияЭкологияЭкономикаЭлектроника






Контроль за функциональным состоянием юных гимнастов





Необходимость контроля за состоянием гимнастов в ходе учеб­но-тренировочных занятий и спортивных соревнований вызвана тем, что в этот возрастной период у разных лиц функции орга­низма, психические и личностные свойства, опыт, обучаемость и воспитуемость индивидуально различны. Далеко не одинаковы потенциальные возможности отдельных органов и организма в целом, возможности психики у разных гимнастов. У одних эти возможности значительно больше, у других — меньше. В ходе спортивных занятий и особенно соревнований могут обнаружить­ся существенные различия в проявлении и других индивидуаль­ных свойств. В силу этих различий одна и та же физическая или психологическая нагрузка может быть для одних чрезмерной, для других — безразличной, для третьих — явно недостаточной. По­этому необходима система контроля, включающая в себя учет объ­ема, интенсивности нагрузки и степени утомления гимнастов.


При планировании нагрузки результаты контроля позволяют осу­ществить индивидуальный и личностный подход к каждому гим­насту, укрепить здоровье, повысить физическую работоспособ­ность, интерес к занятиям, исключить травматизм.

Объем нагрузки определяется по моторной плотности занятия, по количеству выполненных элементов, соединений, целых ком­бинаций, опорных прыжков, упражнений общей и специальной физической подготовки, технически сложных элементов в отдель­ном уроке, в недельном цикле тренировки.

Интенсивность нагрузки оценивается по количеству элементов, выполненных за 1 мин тренировочного времени, или по величи­не так называемого индекса интенсивности TV (А. М.Шлемин) — чем он больше, тем выше интенсивность нагрузки:

Интенсивность нагрузки в занятии оценивают также по коли­честву элементов групп Е, Д, С, Б, А, не входящих в группы трудности, обязательных и произвольных комбинаций, выполнен­ных за время тренировочного урока. В процессе тренировки и со­ревнований большие нагрузки падают на сердечно-сосудистую и дыхательную системы. Следовательно, педагогу-тренеру важно знать реакции гимнастов на предлагаемые физические нагрузки и состояние этих систем.

При контроле за нагрузкой гимнастов имеется в виду, что по энергозатратам все элементы в гимнастике являются равнознач­ными. Нет существенных различий в интенсивности мышечной работы гимнаста при выполнении элементов различной трудно­сти как на отдельном снаряде, так и в многоборье в целом. Труд­ность сложных и сверхсложных элементов не в величине энерго­затрат, а в их координационной сложности, в высоких требова­ниях к психике, особенно к эмоциональной устойчивости, реши­тельности и смелости. Дети легче схватывают сложные движения ■ и быстрее овладевают ими, чем взрослые, потому что у них мень­ше развито чувство страха, они больше доверяют тренеру.

Контроль предусматривает и управление состоянием юных гим­настов. Оно может быть оперативным, изменяющимся под влия­нием однократного воздействия физических упражнений и окру­жающей среды; текущим — изменяющимся под воздействием од­ного или нескольких тренировочных занятий, и перманентным (спортивная форма) — сохраняющимся от одной недели до месяца.

Управление этими видами состояния основывается на резуль­татах тщательного изучения функциональных возможностей орга­низма, здоровья, способностей юных гимнастов и их податливо­сти к развитию, обучаемости и воспитуемости. Указанные данные


учитываются при постановке цели и задач тренировки, при со­ставлении индивидуального плана на месяц, год и даже ряд лет для каждого гимнаста. В нем предусматривается укрепление здоро­вья, повышение функциональных возможностей организма, раз­витие способностей, овладение новыми сложными упражнения­ми, воспитательные мероприятия. Изучение индивидуальных осо­бенностей гимнастов кладется в основу управления тренировоч­ными и соревновательными нагрузками и достижения заплани­рованного спортивного результата.

О функциональном состоянии сердечно-сосудистой системы у юных гимнастов можно судить:


2) по функциональному коэффициенту (Фк):


3) по быстроте восстановления пульса после дозированной мышечной работы (В):


4) по показателю сердечно-сосудистой деятельности (ЛСД):


1) по пульсовой стоимости движений (Р) с точной дозиров­кой нагрузки, например: 20 — 30 — 40 приседаний, стоя у гимнас­тической стенки хватом сверху за стойку на уровне груди; подско­ком на месте 20 — 30 — 40 раз; упражнения выполняются соответ­ственно за 20 — 30—40 с; могут применяться и другие строго дози­рованные упражнения:


Во всех испытаниях: /0 — пульс до нагрузки, в спокойном со­стоянии;/! — пульс после нагрузки; /2,/3, Л ~ ПУЛЬС в последние 15 с на второй, третьей, четвертой минутах отдыха; п — количе­ство циклов движений.

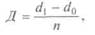
Функциональное состояние дыхательной системы определяет­ся по дыхательной стоимости движений (Д):

где </0 _ количество дыханий в 1 мин в покое; dx — количество дыхании после нагрузки; п — количество циклов движений.


Общую величину нагрузки (объем и интенсивность) опреде­ляют по потере веса за тренировочное занятие или спортивное соревнование. Потеря в весе 800 г и более говорит о большой на­грузке, 500 — 800 г — о средней и 300 — 500 г — о малой.

О величине нагрузки можно судить по пульсу: мышечная ра­бота большой тяжести вызывает учащение пульса до 150 — 180 уд/мин, средней тяжести — 120 — 149 уд/мин и легкая рабо­та — 90 — 119 уд/мин. Эти показатели больше характерны для гимнастов старшего школьного возраста. Для других возрастных групп они могут быть несколько другими. Педагогу важно уметь определять степень утомления юных гимнастов по внешним при­знакам (табл. 7).

Чтобы тренировка гимнастов проходила эффективно и без пе­ренапряжений, необходимо руководствоваться принципами спортивной тренировки.








Date: 2015-08-07; view: 431; Нарушение авторских прав



mydocx.ru - 2015-2026 year. (0.405 sec.) Все материалы представленные на сайте исключительно с целью ознакомления читателями и не преследуют коммерческих целей или нарушение авторских прав - Пожаловаться на публикацию