Главная Случайная страница


Полезное:

Как сделать разговор полезным и приятным Как сделать объемную звезду своими руками Как сделать то, что делать не хочется? Как сделать погремушку Как сделать так чтобы женщины сами знакомились с вами Как сделать идею коммерческой Как сделать хорошую растяжку ног? Как сделать наш разум здоровым? Как сделать, чтобы люди обманывали меньше Вопрос 4. Как сделать так, чтобы вас уважали и ценили? Как сделать лучше себе и другим людям Как сделать свидание интересным?


Категории:

АрхитектураАстрономияБиологияГеографияГеологияИнформатикаИскусствоИсторияКулинарияКультураМаркетингМатематикаМедицинаМенеджментОхрана трудаПравоПроизводствоПсихологияРелигияСоциологияСпортТехникаФизикаФилософияХимияЭкологияЭкономикаЭлектроника






Расчет установившихся режимов и регулирование напряжения в сети





2.1.1 Расчет уровней напряжений и выбор отпаек трансформаторов в режиме максимальных нагрузок

Передача мощности в электрических сетях всегда сопровождается падениями напряжения за счёт наличия активных и реактивных сопротивлений элементов сети. Вследствие падения напряжения изменяются во всех узлах сети уровни напряжения.

где - продольная составляющая падения напряжения;

- поперечная составляющая.

Для поддержания заданного напряжения на вторичных шинах трансформатора необходимо выбрать соответствующее ответвление РПН:

Схема замещения ПС-2 представлена на рис. 2.1

Рис. 2.1 Схема замещения ПС-2

Уровни напряжения на шинах ПС-А:

Расчёт производим для максимального режима:

 

Выбор отпайки устройства РПН трансформатора на ПС-2:

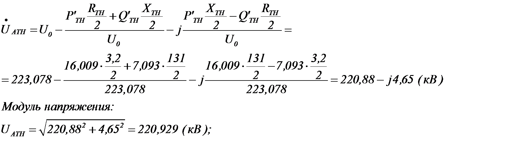
Напряжение на шинах ВН автотрансформатора:

Напряжение в средней точке автотрансформатора:

Напряжение на шинах СН автотрансформатора:

 

Выбираем отпайку устройства РПН на обмотке среднего напряжения (СН) автотрансформатора (РПН: ±6ĥ2,0%):

Желаемое напряжение:

Желаемый номер отпайки автотрансформатора:

Принимаем номер отпайки:

Действительное напряжение тогда равно:

Напряжение на шинах НН автотрансформатора:

Для регулирования напряжения на шинах НН у автотрансформатора применяем линейный регулировочный трансформатор ЛТДН-40000/10.

Параметры трансформатора представлены в таблице 12:

Таблица 12 Параметры линейного регулятора

Тип Sном , МВА Uном , кВ
ЛТДН-40000/10     ±10*1,5%

 

Желаемое напряжение:

Желаемый номер отпайки:

Принимаем номер отпайки:

Действительное напряжение тогда равно:

 

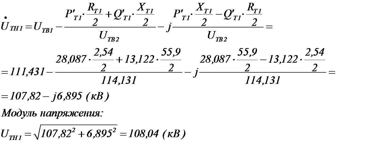
Выбор отпайки устройства РПН трансформатора на ПС-1:

Напряжение на шинах ВН трансформатора:

Напряжение на шинах НН трансформатора:

Выбираем отпайку устройства РПН на обмотке высшего напряжения (ВН) трансформатора (РПН: ±9ĥ1,78%):

Желаемое напряжение:

Желаемый номер отпайки трансформатора:

Принимаем номер отпайки:

Действительное напряжение тогда равно:

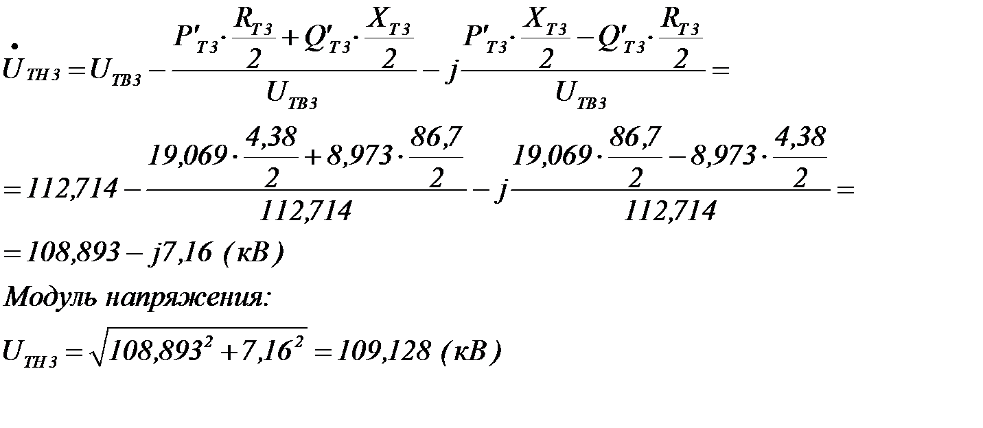
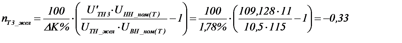
Выбор отпайки устройства РПН трансформатора на ПС-3:

Напряжение на шинах ВН трансформатора:

Напряжение на шинах НН трансформатора:

Выбираем отпайку устройства РПН на обмотке высшего напряжения (ВН) трансформатора (РПН: ±9ĥ1,78%):

Желаемое напряжение:

Желаемый номер отпайки трансформатора:

Принимаем номер отпайки:

Действительное напряжение тогда равно:

 

2.1.2 Расчет уровней напряжений и выбор отпаек трансформаторов в максимальном, минимальном и послеаварийном режиме работы нагрузок

 

Расчёты произведены в программном комплексе «Энергия» и представлены на рисунках 2.2-2.6.

 







Date: 2015-08-06; view: 1585; Нарушение авторских прав



mydocx.ru - 2015-2026 year. (0.387 sec.) Все материалы представленные на сайте исключительно с целью ознакомления читателями и не преследуют коммерческих целей или нарушение авторских прав - Пожаловаться на публикацию