Главная Случайная страница


Полезное:

Как сделать разговор полезным и приятным Как сделать объемную звезду своими руками Как сделать то, что делать не хочется? Как сделать погремушку Как сделать так чтобы женщины сами знакомились с вами Как сделать идею коммерческой Как сделать хорошую растяжку ног? Как сделать наш разум здоровым? Как сделать, чтобы люди обманывали меньше Вопрос 4. Как сделать так, чтобы вас уважали и ценили? Как сделать лучше себе и другим людям Как сделать свидание интересным?


Категории:

АрхитектураАстрономияБиологияГеографияГеологияИнформатикаИскусствоИсторияКулинарияКультураМаркетингМатематикаМедицинаМенеджментОхрана трудаПравоПроизводствоПсихологияРелигияСоциологияСпортТехникаФизикаФилософияХимияЭкологияЭкономикаЭлектроника






Расчет установившегося режима работы кольцевой сети. Определение сечений и марок проводов линий электропередачи





- мощность в конце i-го элемента,

- мощность в начале i-го элемента,

- потери активной и реактивной мощности на i-м элементе,

- активное и реактивное сопротивление i-го элемента,

- номинальное напряжение сети, трансформатора

- число трансформаторов на i-ой подстанции

- активные и реактивные потери холостого хода в трансформаторе.

 

Представим кольцевую сеть в виде линии с двухсторонним питанием. Допустим, что сечения линий одинаковы (рис. 1.12)

Рис. 1.12 Вид кольцевого участка сети при разрезе

 

1.6.1 Мощность нагрузки на подстанции ПС-1 с учетом потерь:

 

Мощность нагрузки на подстанции ПС-3 с учетом потерь:

 

Мощность, протекающая по линиям Л23 и Л21 будет определяться:

 

Мощность в линии Л31 будет равна:

Проверка рассчитанных перетоков мощности:

Сумма мощностей, протекающих по линиям, равна сумме мощностей на шинах подстанций, значит мощности определены верно.

 

1.6.2 Расчет сечения проводов ЛЭП кольцевой сети:

1.6.2.1 Участок 2-1 (Л21)

Ток, протекающий по линии:

Расчетный ток:

αt-коэффициент, учитывающий число часов использования максимальной нагрузки. Определяется по [1] Т.3.13 при К=1,0 и Т=4200 ч.

Сечение проводов линии:

где jн – нормированная плотность тока, А/мм2. Определяется по [1] Т.3.12

Для номинального напряжения Uнс=110 кВ для одноцепных линий минимально допустимое сечение линии Fмин.доп=70 (мм2). По [1] Т.3.8 выбираем провод марки АС-150/24.

Параметры сталеалюминиевых проводов приведены в таблице 6:

Таблица 6 Параметры проводов

Марка провода
АС-150/24 0,204 0,42 2,707  

Проверка:

1) По короне:

Согласно [1] Т.3.7 Fмин.доп=70 мм2 для Uнс=110 кВ. F21 > Fмин.доп, условие выполняется.

2) По механической прочности:

Для одноцепных линий минимально допустимое сечение линии Fмин.доп = 70 (мм2)

3) Проверка в послеаварийном режиме:

Для проверки по нагреву отключаем линию Л23. Сечение линии Л21 должно выдерживать суммарную мощность ПС-1 и ПС-3, протекающую по проводам ЛЭП (рис. 1.13)

Рис. 1.13 Схема для проверки сечений проводов линии Л21

 

Расчетный ток, протекающий в послеаварийном режиме:

По условию Iр21(п/а)< Iдопсечение удовлетворяет

Сопротивления и зарядная мощность линии составят:

 

1.6.2.2 Участок 2-3 (Л23)

Ток, протекающий по линии:

Расчетный ток:

αt-коэффициент, учитывающий число часов использования максимальной нагрузки. Определяется по [1] Т.3.13 при К=1,0 и Т=4500 ч.

Сечение проводов линии:

где jн – нормированная плотность тока, А/мм2. Определяется по [1] Т.3.12

Для номинального напряжения Uнс=110 кВ для одноцепных линий минимально допустимое сечение линии Fмин.доп=70 (мм2). По [1] Т.3.8 выбираем провод марки АС-185/29.

Параметры сталеалюминиевых проводов приведены в таблице 7:

Таблица 7 Параметры проводов

Марка провода
АС-185/29 0,159 0,413 2,747  

 

Проверка:

1) По короне:

Согласно [1] Т.3.7 Fмин.доп=70 мм2 для Uнс=110 кВ. F23 > Fмин.доп, условие выполняется.

2) По механической прочности:

Для одноцепных линий минимально допустимое сечение линии Fмин.доп = 70 (мм2)

3) Проверка в послеаварийном режиме:

Для проверки по нагреву отключаем линию Л21. Сечение линии Л23 должно

выдерживать суммарную мощность ПС-1 и ПС-3, протекающую по проводам ЛЭП (рис. 1.14)

Рис. 1.14 Схема для проверки сечений проводов линии Л23

 

Расчетный ток, протекающий в послеаварийном режиме:

По условию Iр23(п/а)< Iдопсечение удовлетворяет

Сопротивления и зарядная мощность линии составят:

 

1.6.2.3 Участок Л31

Ток, протекающий по линии:

Расчетный ток:

 

Сечение проводов линии:

где jн – нормированная плотность тока, А/мм2. Определяется по [1] Т.3.12

Для номинального напряжения Uнс=110 кВ для одноцепных линий минимально допустимое сечение линии Fмин.доп=70 (мм2). По [1] Т.3.8 выбираем провод марки АС-70/11.

Параметры сталеалюминиевых проводов приведены в таблице 8:

Таблица 8 Параметры проводов

Марка провода
АС-70/11 0,422 0,444 2,547  

 

Проверка:

1) По короне:

Согласно [1] Т.3.7 Fмин.доп=70 мм2 для Uнс=110 кВ. F31 > Fмин.доп, условие выполняется.

2) По механической прочности:

Для одноцепных линий минимально допустимое сечение линии Fмин.доп = 70 (мм2)


3) Проверка в послеаварийном режиме:

Отключаем линию Л21 , так как в послеаварийном режиме по линии Л31 будет проходить большая мощность S1

Расчетный ток, протекающий в послеаварийном режиме:

По условию Iр31(п/а)< Iдопсечение удовлетворяет

Сопротивления и зарядная мощность линии составят:

 

1.6.3 Уточнённый расчет потокораспределения с учетом фактических значений сопротивлений участков, а также величин зарядной мощности ЛЭП.

Потери рассчитываются по потоку мощности в конце элемента. Расчетная схема замещения показана на рис. 1.15. Для нахождения мощностей кольцевой схемы, разбиваем замкнутую сеть по источнику питания, представляя её как сеть с двухсторонним питанием с напряжением, в пунктах питания совпадающим по величине и по фазе.

Рис. 1.15 Расчетная схема замещения

 

Для удобства расчета пересчитаем схему и определим полные сопротивления линий:

 

Расчётная схема примет вид (рис. 1.16):

Рис. 1.16 Преобразованная схема замещения

Мощность, протекающая по линии Л23 составит:

 

 

Мощность, протекающая по линии Л21 составит:

 

Мощность, протекающая по линии Л31 составит:

 

 

Проверка рассчитанных перетоков мощности:

 

Сумма мощностей, протекающих по линиям, равна сумме мощностей на шинах подстанций, значит мощности определены верно.

 

1.6.3.1 Расчет потокораспределения с учетом потерь мощности (рис. 1.17)

Рис. 1.17 Схема замещения для расчёта потокораспределения

 

Мощность в конце линии Л21 будет равна:

 

Потери в линии будут равны:

 

Мощность в начале линии Л21 будет равна:

 

Мощность, поступающая в линию Л21:

 

 

Мощность в конце линии Л31 будет равна:

 

Потери в линии будут равны:

 

 

Мощность в начале линии Л31 будет равна:

 

Мощность в конце линии Л23 будет равна:

 

Потери в линии будут равны:

 

 

Мощность в начале линии Л23 будет равна:

 

Мощность, поступающая в линию Л13:

 

Мощность, поступающая в «кольцо»:

 

Мощность, отходящая к нагрузке 110 кВ с шин СН автотрансформатора, не изменится:

 

1.6.3.2 Расчёт потокораспределения ПС-2

 

Схема замещения представлена на рис. 1.18:

Рис. 1.18 Схема замещения ПС-2

 

 

Мощность на шинах СН автотрансформатора будет равна сумме мощностей нагрузок:

Потери в обмотках СН автотрансформаторов составят:

 

 

Мощность в начале обмотки СН с учетом потерь:

Мощность в начале обмотки НН не изменится и составит:

 

Мощность в конце звена обмоток ВН автотрансформаторов подстанции ПС-2, будет складываться из мощностей обмоток СН и НН:

 

Потери в обмотках ВН автотрансформаторов составят:

 

 

Мощность на шинах ВН трансформаторов:

 

Мощность, подходящая к шинам 220 кВ подстанции ПС-2, с учетом потерь ХХ:

 

Выбор сечения и типа проводов линии:

Ток, протекающий по линии:

Расчетный ток:

 

Сечение проводов линии:

где jн – нормированная плотность тока, А/мм2. Определяется по [1] Т.3.12


Для номинального напряжения Uнс=220 кВ по [1] Т.3.8 выбираем провод марки АС-240/32.

Параметры сталеалюминиевых проводов приведены в таблице 9:

Таблица 9 Параметры проводов

Марка провода
АС-240/32 0,118 0,435 2,604  

Проверка:

1) По короне:

Согласно [1] Т.3.7 Fмин.доп=240 мм2 для Uнс=220 кВ. FА2> Fмин.доп, условие выполняется.

2) По механической прочности:

Для двухцепных линий минимально допустимое сечение линии Fмин.доп=120 мм2.

Условие выполняется.

3) Проверка в послеаварийном режиме:

Расчетный ток, протекающий в послеаварийном режиме:

По условию IрА2(п/а)< Iдопсечение удовлетворяет

Сопротивления и зарядная мощность линии составят:

 

Мощность в конце линии с учетом зарядной мощности:

 

Потери в линии будут равны:

С учетом потерь, мощность в начале линии будет равна:

 

Мощность, отходящая от системы:

 

1.6.4 Проверка баланса мощности

Потери мощности на участке цепи с подстанцией ПС-1:

 

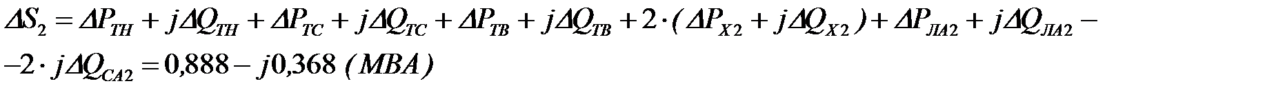
Потери мощности на участке цепи с подстанцией ПС-2:

 

Потери мощности на участке цепи с подстанцией ПС-3:

 

Потери мощности на участке цепи Л31:

 

Сумма мощностей нагрузок и мощностей потерь равна мощности, передаваемой с подстанции ПС-А

Баланс по мощности сходится.

 







Date: 2015-08-06; view: 1313; Нарушение авторских прав



mydocx.ru - 2015-2026 year. (0.588 sec.) Все материалы представленные на сайте исключительно с целью ознакомления читателями и не преследуют коммерческих целей или нарушение авторских прав - Пожаловаться на публикацию