Главная Случайная страница


Полезное:

Как сделать разговор полезным и приятным Как сделать объемную звезду своими руками Как сделать то, что делать не хочется? Как сделать погремушку Как сделать так чтобы женщины сами знакомились с вами Как сделать идею коммерческой Как сделать хорошую растяжку ног? Как сделать наш разум здоровым? Как сделать, чтобы люди обманывали меньше Вопрос 4. Как сделать так, чтобы вас уважали и ценили? Как сделать лучше себе и другим людям Как сделать свидание интересным?


Категории:

АрхитектураАстрономияБиологияГеографияГеологияИнформатикаИскусствоИсторияКулинарияКультураМаркетингМатематикаМедицинаМенеджментОхрана трудаПравоПроизводствоПсихологияРелигияСоциологияСпортТехникаФизикаФилософияХимияЭкологияЭкономикаЭлектроника






Анализ расположения источников питания и нагрузок





Иваново 2015

Разработка и выбор оптимального варианта схемы электрической сети.

Анализ расположения источников питания и нагрузок.

Для проектирования была предложена сеть района нагрузок, состоящая из подстанции энергосистемы – ПС А, одной узловой подстанции – ПС 2 и двух потребительских – ПС 1, ПС 3. Потребители на подстанции принадлежат ко всем категориям надежности, что предусматривает установку на подстанциях двух трансформаторов. Сеть располагается в ОЭС Европейской части РФ.

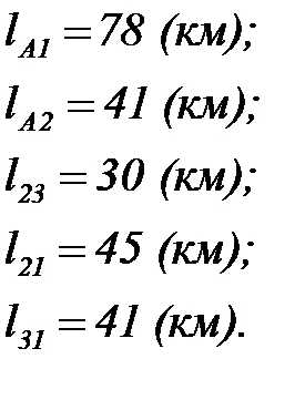
На рис. 1.1 и 1.2 представлены схема расположения подстанций и несколько вариантов конфигурации сети (где также указаны длины линий в километрах). Так как трансформаторные подстанции для рассматриваемых вариантов будут иметь одинаковые трансформаторы по мощности, то предварительное сравнение вариантов осуществляется по длинам линий.

Анализ расположения источников питания и нагрузок на плане местности.

Рис. 1.1 Схема расположения подстанций

Варианты схем:


Рис. 1.2 Варианты схем

Рассчитаем общую длину воздушной линии (ВЛ) для каждой схемы:

Учитывая полученные результаты и предъявляемые требования к построению сетей, для дальнейшей разработки схемы электрической сети района и последующего сравнения вариантов приняты варианты 1) и 5). Была выбрана схема 1) так как она обеспечивает меньшие потери, 5) так она более проста, надежна. Варианты являются взаимозаменяемыми и обеспечивают одинаковый уровень надёжности энергоснабжения потребителей.







Date: 2015-08-06; view: 571; Нарушение авторских прав



mydocx.ru - 2015-2026 year. (0.714 sec.) Все материалы представленные на сайте исключительно с целью ознакомления читателями и не преследуют коммерческих целей или нарушение авторских прав - Пожаловаться на публикацию