Главная Случайная страница


Полезное:

Как сделать разговор полезным и приятным Как сделать объемную звезду своими руками Как сделать то, что делать не хочется? Как сделать погремушку Как сделать так чтобы женщины сами знакомились с вами Как сделать идею коммерческой Как сделать хорошую растяжку ног? Как сделать наш разум здоровым? Как сделать, чтобы люди обманывали меньше Вопрос 4. Как сделать так, чтобы вас уважали и ценили? Как сделать лучше себе и другим людям Как сделать свидание интересным?


Категории:

АрхитектураАстрономияБиологияГеографияГеологияИнформатикаИскусствоИсторияКулинарияКультураМаркетингМатематикаМедицинаМенеджментОхрана трудаПравоПроизводствоПсихологияРелигияСоциологияСпортТехникаФизикаФилософияХимияЭкологияЭкономикаЭлектроника






Влияние внешних факторов на величину электродного потенциала. Величина окислительно-восстановительного потенциала (ов-потенциала) зависит от химической природы материала электрода





Величина окислительно-восстановительного потенциала (ОВ-потенциала) зависит от химической природы материала электрода, температуры, концентрации и природы потенциалопределяющих частиц в растворе. Эта зависимость выражается уравнением Нернста:

(2)

В этом уравнении Е – электродный потенциал (В); Е 0- стандартный электродный потенциал (В); R = 8,31 универсальная газовая постоянная; Т -температура (К); n – число моль электронов в полуреакции; F –число Фарадея; a окисл-активность окисленной формы потенциалопределяющих частиц (моль/л); a восст – активность восстановленной формы потенциалопределяющих частиц (моль/л).

Введем несколько упрощений:

1) при стандартной температуре 298К и переходе к десятичным логарифмам, получим В;

2) для разбавленных растворов активности с достаточным приближением могут быть заменены концентрациями (a окисл=[окисл], a восст =[восст]). В результате для стандартной температуры уравнение принимает следующий вид:

(3)

где «х» и «y» коэффициенты перед окисленной и восстановленной формой потенциалопределяющих частиц в ОВ-полуреакции.

Например, для полуреакции окисления ионов Mn2+

Mn2++4H2O - 5 = MnO4- + 8H+,

в которой слева – восстановленная форма потенциалопределяющих частиц, а справа – окисленная форма, уравнение Нернста для стандартной температуры будет иметь следующий вид:

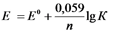
Подлогарифмическое выражение является константой равновесия реакции:

, поэтому уравнение (3) может быть представлено в

следующем виде:

. (4)

Если электродная система состоит из металлического электрода, опущенного в раствор, содержащий одноименные ионы Me0 - n = Me+n, то уравнение Нернста при стандартной температуре приобретает следующий вид: (5)

Для окислительно-восстановительных реакций исходя из соотношения Δ G 0х.р = -nF Δ Е иln K = - Δ G 0х.р /RT можно вычислить значения константы равновесия:

ln К = (6)

Е ок – потенциал окислителя, Е восс- потенциал восстановителя.

Для стандартной температуры и десятичных логарифмов:

lg К = . (7)







Date: 2015-07-27; view: 608; Нарушение авторских прав



mydocx.ru - 2015-2026 year. (1.217 sec.) Все материалы представленные на сайте исключительно с целью ознакомления читателями и не преследуют коммерческих целей или нарушение авторских прав - Пожаловаться на публикацию