Главная Случайная страница


Полезное:

Как сделать разговор полезным и приятным Как сделать объемную звезду своими руками Как сделать то, что делать не хочется? Как сделать погремушку Как сделать так чтобы женщины сами знакомились с вами Как сделать идею коммерческой Как сделать хорошую растяжку ног? Как сделать наш разум здоровым? Как сделать, чтобы люди обманывали меньше Вопрос 4. Как сделать так, чтобы вас уважали и ценили? Как сделать лучше себе и другим людям Как сделать свидание интересным?


Категории:

АрхитектураАстрономияБиологияГеографияГеологияИнформатикаИскусствоИсторияКулинарияКультураМаркетингМатематикаМедицинаМенеджментОхрана трудаПравоПроизводствоПсихологияРелигияСоциологияСпортТехникаФизикаФилософияХимияЭкологияЭкономикаЭлектроника






Расчет детали на прочность





Расчет на прочность узла навески руля направления. Узлы навески относятся к ответственным подвижным соединениям. Подшипники этих узлов работают в условиях знакопеременных нагрузок, что должно учитываться при выборе подшипника и его расчете.

Подшипник качения по сравнению с подшипниками скольжения при одинаковых допускаемых нагрузках имеют большие размеры по диаметру, меньший ресурс и более чувствительны к динамическим нагрузкам. Но при сравнительно малых нагрузках эти недостатки подшипников качения не являются существенными, но зато сказывается очень важное преимущество этих подшипников – малое трение. Поэтому они получили широкое распространение в узлах навески рулей самолета.

Для обеспечения возможности угловых перемещений оси при деформациях руля направления в узлах навески применяются самоориентирующиеся шариковые или сферические подшипники.

Силы, действующие на узлы, определяются как реакции опор руля направления из условий его равновесия при максимальных нагрузках.

Диаметр соединительного болта определяется из условий прочности на срез. Срезывающая сила Pср = Pрасч = 502 кг.

 

Выбор типа и габаритов подшипника

Зная величину нагрузки, выбираем тип и габаритные размеры подшипника под соединительный болт по разрушающей нагрузке из справочника, со следующими параметрами: подшипник шариковый радиальный однорядный с двумя защитными шайбами и выступающим внутренним кольцом 980700Ю:

d = 10 мм – внутренний диаметр подшипника;

D = 37 мм – наружный диаметр подшипника;

b = 12 мм – высота подшипника.

 

Кронштейн выполняется из материала АК-6.

Основными элементами кронштейна являются: проушина, пояса и стенка.
Диаметр проушины определяется по формуле:

где n – коэффициент определяющий толщину перемычки в зависимости от материала.

Для материала АК-6: n = 5.

Тогда:

 

Толщина проушины должна быть равна:

a = b + 2c

где c – стандартизованная величина, зависящая от наружного диаметра подшипника. Для подшипников диаметром 30...40 мм c = 0,25.

 

Тогда:

a = 12 + 2·2,5 = 17 мм

 

Длина кронштейна L = 220 мм – расстояние от места крепления кронштейна к стенке лонжерона до оси вращения руля направления.

Как правило, база крепления кронштейна B ограничена расстоянием между поясами балки, на которую он устанавливается.

B = 110 мм

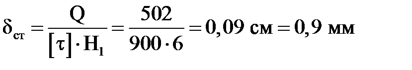
Расчет пояса и стенки кронштейна производится с учетом допущений о том что стенка воспринимает только перерезывающую силу, а пояса осевые усилия от изгибающего момента. При определении толщены стенки считаем сечение вблизи проушины, а пояса – вблизи крепления кронштейна.

где τв = 2600 кг/см2;

h = 2 мм – высота перехода проушины в тело кронштейна.

 

 

Принимаем:

где Н2 = 11 см

Мизг = P·l = 502×22 = 11044 кг×см,

где l = 23 см – расстояние от линии действия Р до рассчитываемого сечения.

 

Площадь среза определяется по формуле:

где d – диаметр болта.

Условие прочности характеризуется формулой:

 

где τ = 0,6σв – разрушающее касательное напряжение;

σв = 110 кг/ – предел прочности материала болта для 30ХГСА;

d – диаметр болта;

n – число плоскостей среза (в ушковом соединении n=2).

 

Диаметр болта определяется по формуле:

Принимаю конструктивно d = 10 мм.

 

 

Условие выполняется.

 

Определяю размеры проушины

Принимаю соотношение:

Ширину проушины кронштейна необходимо проверить из условия прочности на разрыв.

Принимаю:

Толщина ушка: δ = Bn +1.5….2,0 мм.

Ширина ушка: Вn = 2·Dn = 2·6 = 12 мм,

δ = В + 2 = 12 + 2 = 14 мм.

Сила разрыва: Pраз = Pрасч

Площадь разрыва определяется по формуле:

Fраз = (В –Dn)·δ = (12 – 6)·14 = 84 мм2.

Условие прочности

,

где k = 0,8 – поправочный коэффициент.

Условие выполняется.

Правильность выбора толщины проушины проверяем по напряжению смятия. Сила смятия Pсм = Pрасч

Площадь смятия определяется по формуле:

Fсм = Dn·δ = 6×14 = 84 мм2.

Напряжение смятия

где μ = 1,3…1,5.

Принимаю коэффициент μ = 1,3

Условие выполняется.

Расчет пояса и стенок кронштейна производится с учетом допущений о том, что стенки воспринимают только перерезывающую силу, а пояса осевые усилия от изгибающего момента. При определении толщины стенок считаем сечение вблизи проушины, а пояса – вблизи крепления кронштейна.

 

 


Принимаю

 

Определяем диаметр болтов для крепления кронштейна к лонжерону. Материал болтов 30ХГСА:

 

 

 

Принимаю диаметр болтов 6 мм.







Date: 2015-07-27; view: 1052; Нарушение авторских прав



mydocx.ru - 2015-2026 year. (1.135 sec.) Все материалы представленные на сайте исключительно с целью ознакомления читателями и не преследуют коммерческих целей или нарушение авторских прав - Пожаловаться на публикацию