Главная Случайная страница


Полезное:

Как сделать разговор полезным и приятным Как сделать объемную звезду своими руками Как сделать то, что делать не хочется? Как сделать погремушку Как сделать так чтобы женщины сами знакомились с вами Как сделать идею коммерческой Как сделать хорошую растяжку ног? Как сделать наш разум здоровым? Как сделать, чтобы люди обманывали меньше Вопрос 4. Как сделать так, чтобы вас уважали и ценили? Как сделать лучше себе и другим людям Как сделать свидание интересным?


Категории:

АрхитектураАстрономияБиологияГеографияГеологияИнформатикаИскусствоИсторияКулинарияКультураМаркетингМатематикаМедицинаМенеджментОхрана трудаПравоПроизводствоПсихологияРелигияСоциологияСпортТехникаФизикаФилософияХимияЭкологияЭкономикаЭлектроника






Расчет сечения киля по третьему узлу навески РН





Хорда ВО: B = 150 см

Изгибающий момент: Mизг = 10980 кг·см

Крутящий момент: Mкр = –11560 кг·см

Перерезывающая сила: Q = 960,8 кг

Высота переднего лонжерона: Hпл = 16,6 см

Высота заднего лонжерона: Hзл = 17 см

Положение переднего лонжерона: xпл = 27 см

Положение заднего лонжерона: xзл = 90 см

Количество стрингеров в сечении: nстр = 3

 

 

Определение суммарной площади поясов лонжеронов

где [σ] = 4200 кг/см2 для 1163Т,

Hср – средняя высота лонжеронов

 

 

 

Распределение площади поясов лонжеронов пропорционально квадратам высоты

 

 

Расчет потоков касательных усилий от крутящего момента

где F0 – площадь замкнутого контура

 

 

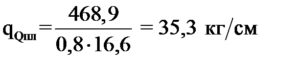
Расчет потоков касательных усилий от перерезывающих сил

Распределяем перерезывающие силы между лонжеронами пропорционально квадратам высот:

 

 

 

 

 

 







Date: 2015-07-27; view: 630; Нарушение авторских прав



mydocx.ru - 2015-2026 year. (1.092 sec.) Все материалы представленные на сайте исключительно с целью ознакомления читателями и не преследуют коммерческих целей или нарушение авторских прав - Пожаловаться на публикацию