Главная Случайная страница


Полезное:

Как сделать разговор полезным и приятным Как сделать объемную звезду своими руками Как сделать то, что делать не хочется? Как сделать погремушку Как сделать так чтобы женщины сами знакомились с вами Как сделать идею коммерческой Как сделать хорошую растяжку ног? Как сделать наш разум здоровым? Как сделать, чтобы люди обманывали меньше Вопрос 4. Как сделать так, чтобы вас уважали и ценили? Как сделать лучше себе и другим людям Как сделать свидание интересным?


Категории:

АрхитектураАстрономияБиологияГеографияГеологияИнформатикаИскусствоИсторияКулинарияКультураМаркетингМатематикаМедицинаМенеджментОхрана трудаПравоПроизводствоПсихологияРелигияСоциологияСпортТехникаФизикаФилософияХимияЭкологияЭкономикаЭлектроника






Второй этап расчета





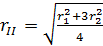
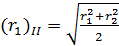
7. На втором, уточняющем, этапе расчета вначале делается разбивка лопасти на два равновеликих, по площади ометания

,

где

отрезка и находятся соответствующие средние

радиусы (рис.2). В итоге получим:

; ; ;

; ; [M],

где -заданные радиусы.

Площади отдельных участков лопасти , используемые п.3 при определении ; и , находятся по следующим формулам (рис.2):

 


Где B - для обоих участков одинакова и равна заданной B……

Для найденных средних радиусов и площадей

повторяем пп.(2-6) первого этапа. При этом число лопастей Z(n.1) и угловая скорость (п.6) для каждого из участков одинаковы и равны Z и первого этапа. Расчет на втором этапе проводится не для всех от , а только для 3-4 значений , где определяется по графику

первого этапа расчета (рис.5 - сплошная кривая).

В результате выполнения второго этапа расчета (пп.8-13) для площадей получим два значения момента и и соот­ветствующих мощностей и (при этом и , а также и несколько отличаются друг от друга).

Крутящий момент и мощность всего двигателя по вто­рому, уточненному, этапу расчета очевидно равны сумме моментов и мощностей, создаваемых отдельными участками лопасти, т.е.

и .

На рис.5 пунктиром показаны, зависимости и и , полученные расчетом на втором этапе. Как видно из рис.5, суммарная по второму этапу заметно (на 10%) меньше чем в приближенном первом этапе расчета. Это объясняется тем, что на первом этапе искусственно завышен участков лопасти с малыми r (прикорневые участки), ибо для них приняты . Отмечается, что по первому и второму этапам расчета практически совпадают. Что же касается зависимости , то на втором этапе их две: и , либо они отличаются друг от друга (при одинаковых , в сравнении с β, при ). Иначе говоря, уточненному расчету получается, что лопасть должна быть с переменным углом установки β: прикорневые сечения должны иметь β корн, большие, чем периферийные, т.е. . Таким образом лопасть ветряного двигателя, как и винт (пропеллер) авиадвигателя, должна быть "закрученной", с уменьшением β от корня к периферии.







Date: 2015-07-27; view: 390; Нарушение авторских прав



mydocx.ru - 2015-2026 year. (0.742 sec.) Все материалы представленные на сайте исключительно с целью ознакомления читателями и не преследуют коммерческих целей или нарушение авторских прав - Пожаловаться на публикацию