Главная Случайная страница


Полезное:

Как сделать разговор полезным и приятным Как сделать объемную звезду своими руками Как сделать то, что делать не хочется? Как сделать погремушку Как сделать так чтобы женщины сами знакомились с вами Как сделать идею коммерческой Как сделать хорошую растяжку ног? Как сделать наш разум здоровым? Как сделать, чтобы люди обманывали меньше Вопрос 4. Как сделать так, чтобы вас уважали и ценили? Как сделать лучше себе и другим людям Как сделать свидание интересным?


Категории:

АрхитектураАстрономияБиологияГеографияГеологияИнформатикаИскусствоИсторияКулинарияКультураМаркетингМатематикаМедицинаМенеджментОхрана трудаПравоПроизводствоПсихологияРелигияСоциологияСпортТехникаФизикаФилософияХимияЭкологияЭкономикаЭлектроника






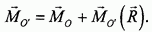
Перемена центра приведения





Выберем в качестве центра приведения другую точку тела. Изменятся ли главный вектор и главный момент при замене центра приведения О на ?

Главный вектор останется без изменения, так как при переносе сил параллельно себе в другую точку не изменяются ни модули, ни направления сил.

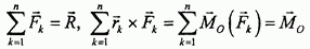
Вычислим новое значение главного момента. Пусть - радиусы-векторы точек приложения сил относительно точки («нового» центра приведения), - то же самое относительно точки О («старого» центра приведения). Эти величины связаны очевидными равенствами (рис. 49). Для нового главного момента можем написать:

Рис. 49.

При учете очевидных равенств

полученный результат запишется в форме

или, что то же самое:

Таким образом, получено следующее правило: при перемене центра приведения новый главный момент системы сил равен геометрической сумме старого главного момента и момента главного вектора, приложенного в старом центре и вычисленного относительно нового центра приведения.

На рис. 49 показано соответствующее геометрическое построение (параллелограмм моментов при точке ).

Однако проекция главного момента на направление главного вектора остается неизменной. Действительно, проектируя полученное равенство на ось , совпадающую по направлению с главным вектором (рис. 49), получаем:

Но , поэтому последнее слагаемое всегда равно нулю. В итоге имеем равенство

Таким образом, при всевозможных переменах центра приведения для данной системы сил две величины остаются неизменными - главный вектор R и проекция главного момента на направление главного вектора. Эти величины называются инвариантами системы сил (R - векторный инвариант, - скалярный инвариант). Величину называют также наименьшим главным моментом системы сил.







Date: 2015-07-27; view: 607; Нарушение авторских прав



mydocx.ru - 2015-2026 year. (1.117 sec.) Все материалы представленные на сайте исключительно с целью ознакомления читателями и не преследуют коммерческих целей или нарушение авторских прав - Пожаловаться на публикацию