Главная Случайная страница


Полезное:

Как сделать разговор полезным и приятным Как сделать объемную звезду своими руками Как сделать то, что делать не хочется? Как сделать погремушку Как сделать так чтобы женщины сами знакомились с вами Как сделать идею коммерческой Как сделать хорошую растяжку ног? Как сделать наш разум здоровым? Как сделать, чтобы люди обманывали меньше Вопрос 4. Как сделать так, чтобы вас уважали и ценили? Как сделать лучше себе и другим людям Как сделать свидание интересным?


Категории:

АрхитектураАстрономияБиологияГеографияГеологияИнформатикаИскусствоИсторияКулинарияКультураМаркетингМатематикаМедицинаМенеджментОхрана трудаПравоПроизводствоПсихологияРелигияСоциологияСпортТехникаФизикаФилософияХимияЭкологияЭкономикаЭлектроника






Приведение системы пар сил к простейшему виду или сложение пар сил





Пусть к твердому телу приложены одновременно несколько пар сил с моментами , действующих в различных плоскостях. Можно ли эту систему пар привести к более простому виду? Оказывается, что можно, и ответ подсказывается следующей теоремой о сложении двух пар.

Теорема. Две пары сил, действующие в разных плоскостях, эквивалентны одной паре сил с моментом, равным геометрической сумме моментов заданных пар.

Рис. 36

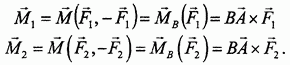
Пусть пары заданы своими моментами и (рис. 36,а). Построим две плоскости, перпендикулярные этим векторам (плоскости действия пар) и, выбрав некоторый отрезок АВ на линии пересечения плоскостей за плечо, общее для обеих пар, построим соответствующие пары: (рис. 36, б).

В соответствии с определением момента пары можем написать

В точках А и В имеем сходящиеся силы. Применяя правило параллелограмма сил (аксиома 3), будем иметь:

Заданные пары оказываются эквивалентными двум силам , также образующим пару. Тем самым первая часть теоремы доказана. Вторая часть теоремы доказывается прямым вычислением момента результирующей пары:

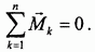
Если число пар то, попарно складывая их в соответствии с этой теоремой, можно любое число пар привести к одной паре. В результате приходим к следующему выводу: совокупность (систему) пар сил, приложенных кабсолютно твердому телу, можно привести к одной паре с моментом, равным геометрической сумме моментов всех заданных пар.

Математически это можно записать следующим образом:

На рис. 37 дается геометрическая иллюстрация полученного вывода.

Для равновесия пар сил требуется, чтобы момент результирующей пары был равен нулю, что приводит к равенству

Рис. 37.

Это условие можно выразить в геометрической и аналитической форме. Геометрическое условие равновесия пар сил: чтобы система пар сил находилась в равновесии, необходимо и достаточно, чтобы векторный многоугольник, построенный из моментов всех пар, был замкнутым.

Аналитическое условие равновесия пар сил: чтобы система пар сил находилась в равновесии, необходимо и достаточно, чтобы алгебраические суммы проекций векторов-моментов всех пар на произвольно выбранные координатные оси Oxyz были равны нулю:

Если все пары лежат в одной плоскости, то есть образуют плоскую систему пар, получается лишь одно аналитическое условие равновесия-сумма алгебраических моментов пар равна нулю.







Date: 2015-07-27; view: 813; Нарушение авторских прав



mydocx.ru - 2015-2026 year. (0.667 sec.) Все материалы представленные на сайте исключительно с целью ознакомления читателями и не преследуют коммерческих целей или нарушение авторских прав - Пожаловаться на публикацию