Главная Случайная страница


Полезное:

Как сделать разговор полезным и приятным Как сделать объемную звезду своими руками Как сделать то, что делать не хочется? Как сделать погремушку Как сделать так чтобы женщины сами знакомились с вами Как сделать идею коммерческой Как сделать хорошую растяжку ног? Как сделать наш разум здоровым? Как сделать, чтобы люди обманывали меньше Вопрос 4. Как сделать так, чтобы вас уважали и ценили? Как сделать лучше себе и другим людям Как сделать свидание интересным?


Категории:

АрхитектураАстрономияБиологияГеографияГеологияИнформатикаИскусствоИсторияКулинарияКультураМаркетингМатематикаМедицинаМенеджментОхрана трудаПравоПроизводствоПсихологияРелигияСоциологияСпортТехникаФизикаФилософияХимияЭкологияЭкономикаЭлектроника






Второе начало термодинамики





Первое начало термодинамики говорит об изменении видов энергии, об их количественных соотношениях при переходе одного вида в другой, устанавливает постоянство энергии изолированной системы. Но этот закон не указывает направление преобразования энергии и не устанавливает условий, необходимых для осуществления того или иного процесса. Как показывает опыт, переход тепла от более нагретого тела к менее нагретому осуществляется сам собою при отсутствии внешнего вмешательства, обратный процесс сам собою не осуществляется.

Это утверждение и является одним из определений второго начала термодинамики.

Энтропия. Введём понятие энтропии. Многочисленные исследования показывают, что интеграл ∫dQ/T не зависит от характера процесса, а определяется состояниями тела в точке 1 и в точке 2. Таким образом, этот интеграл является функцией состояния тела, а, следовательно, dQ/T является полным дифференциалом некоторой функции состояния тела, называемой энтропией и вычисляемой по формуле S =∫ dQ/T = S1S2, здесь S1 —энтропия начального состояния тела, S2,—энтропия конечного состояния тела.

Запишем изменение энтропии для бесконечно малого процесса:

(1.1)

Изменение теплоты в системе, как известно, складывается из притока теплоты извне и тепловых потерь в самой системе, то есть

dQ = dQ внеш - dQ потерь

Тогда изменение энтропии можно выразить следующим образом:

(1.2)

Пусть наша система полностью изолирована от внешнего мира, то есть dQBHeui = 0. Тепловые потери, как показывает опыт, всегда больше нуля, то есть dQпотерьb > 0, и тогда для изолированной системы мы можем записать:

dS > O.(1.3)

Таким образом, в теплоизолированной системе энтропия не может уменьшаться.

Как видно из последнего неравенства, существуют два вида процессов в теплоизолированной системе:

1) dS > 0 —энтропия возрастает в результате процесса. Такой процесс называется неизоэнтропическим и необратимым.

2) dS = 0, то есть S — const —энтропия не изменяется (остается постоянной). Такой процесс называется изоэнтропическим и обратимым.

Можно показать, что чем больше скачок энтропии в результате процесса, тем необратимость процесса больше. Таким образом, энтропия является мерой необратимости данного процесса (так как изменение энтропии в изолированной системе связано с внутренним трением).

На основе статистической термодинамики Больцман вывел формулу для теплоизолированной системы:

S = kBlnW, (1.4)

где S — энтропия системы, kB—постоянная, W—вероятность равновесного состояния системы. Согласно этой формуле, в замкнутой системе возрастание энтропии связано с переходом системы от менее вероятного состояния (неравновесного, когда температура в разных точках системы различна) к более вероятному состоянию (равновесному, когда температура одинакова во всех точках изолированной системы).

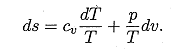
Закон возрастания энтропии в изолированной системе является следствием обобщения данных опыта для конечных систем. Очевидно, что энтропия является функцией давления и объёма S = S(p,v). Для совершенного газа эту связь легко найти с помощью уравнения:

d Q = c vdT + pdv. (1.5)

С другой стороны:

dQ = Tds, (1.6)

где s—энтропия единицы массы среды.

Приравняем правые части последних двух уравнений и, разделив обе части на Т, получим для единицы массы:

(1.7)

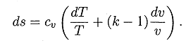
Воспользуемся уравнением состояния совершенного газа и сделаем следующее преобразование:

(1.8)

Для дальнейшего преобразования воспользуемся соотношением ,

R=(k-l)cv, (1.9)

и тогда получим следующее уравнение:

(1.10)

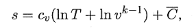
Проинтегрируем это выражение и получим:

(1.11)

где С — некоторая постоянная интегрирования. Преобразовав это выражение, получим:

(1.12)

Используя уравнение pv = RT, запишем это уравнение в виде:

s = cv In pvh[ + C, (1.13)

где С —новая постоянная интегрирования.

Если в каком-то данном процессе энтропия постоянна (S = const), тогда мы можем записать:

pvk = const= A(si), (1.14)

где i= 1,2, 3,...,оо.

Итак, мы получили уравнение изоэнтропы, где к= cз/cv = 1 + R/ cv есть так называемый показатель изоэнтропы.

Заменив в уравнении изоэнтропы v на 1/р, получим изоэнтропу для Si = const в виде:

(1.15)

или р = Aipk, где каждой энтропии si = const соответствует своё уравнение Аi=const.

Это соотношение называется уравнением Пуассона или изоэнтропой совершенного газа.

На (р-р)-диаграмме (см. рис. 1.1) показано семейство изоэнтроп.

Вдоль каждой кривой на этой диаграмме энтропия постоянна. Определим теперь связь между давлением и температурой вдоль изоэнтропы. Напишем уравнение состояния газа для одной точки изоэнтропы, назовём её нулевой (начальное состояние газа):


Рис. 1.1

РО = ΡQRTQ для какой-нибудь другой текущей точки той же самой изоэнтропы p = pRT.

Теперь разделим второе уравнение на первое:

(1.16)

Для начальной точки уравнение изоэнтропы Пуассона можно записать в виде: Po = A(So)p0k, а для текущей точки - в виде: P = A(S0)pk. Из этих уравнений следует, что

(1.17)

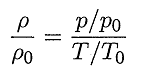
Из полученного нами уравнения (1.16), р/ро = PT/PQTQ, выразим отношение

(1.18)

и, подставив его в уравнение изоэнтропы (1.17), получим:

(1.19)

После некоторого преобразования получим:

(1.20)

и окончательно

(1.21)

Это уравнение и выражает связь между давлением и температурой вдоль изоэнтропы.

Изоэнтропа отражает состояние равновесия термодинамической системы, когда скорость прямой реакции равна скорости обратной. При увеличении энтропии процесс характеризуется как необратимый.

 







Date: 2015-07-27; view: 1289; Нарушение авторских прав



mydocx.ru - 2015-2026 year. (0.753 sec.) Все материалы представленные на сайте исключительно с целью ознакомления читателями и не преследуют коммерческих целей или нарушение авторских прав - Пожаловаться на публикацию