Главная Случайная страница


Полезное:

Как сделать разговор полезным и приятным Как сделать объемную звезду своими руками Как сделать то, что делать не хочется? Как сделать погремушку Как сделать так чтобы женщины сами знакомились с вами Как сделать идею коммерческой Как сделать хорошую растяжку ног? Как сделать наш разум здоровым? Как сделать, чтобы люди обманывали меньше Вопрос 4. Как сделать так, чтобы вас уважали и ценили? Как сделать лучше себе и другим людям Как сделать свидание интересным?


Категории:

АрхитектураАстрономияБиологияГеографияГеологияИнформатикаИскусствоИсторияКулинарияКультураМаркетингМатематикаМедицинаМенеджментОхрана трудаПравоПроизводствоПсихологияРелигияСоциологияСпортТехникаФизикаФилософияХимияЭкологияЭкономикаЭлектроника






Тестовые задания. 1. К какой категории можно отнести программистов автоматизированной системы предприятия?





1. К какой категории можно отнести программистов автоматизированной системы предприятия?

A. к основным рабочим;

B. к служащим;

C. к вспомогательным рабочим.

2. По какой формуле можно исчислить среднюю тарифную ставку рабочих?

A. по средней арифметической простой;

B. по средней гармонической простой;

C. по средней арифметической взвешенной.

3. Верно ли определение, что персонал предприятия – это совокупность физических лиц, состоящих с фирмой как юридическим лицом в отношениях, регулируемых договором найма.

A. да;

B. нет.

4. В каком документе отражаются данные о учете рабочего времени в человеко-днях?

A. ведомости на зарплату;

C. отчетах руководителей подразделений;

D. табеле учета рабочего времени.

5. Как определяется средняя явочная численность персонала за месяц, если предприятие начало функционировать только с 15 числа данного месяца?

A. делением суммы явочного числа работников за дни существования предприятия на число календарных дней функционирования;

B. делением суммы явочного числа работников на число рабочих дней в месяце;

C. делением суммы явочного числа работников за дни существования предприятия на число календарных дней в месяце.

6. На сколько процентов изменится ПТ, если трудоемкость сократится на 20%.

A. возрастет на 20%;

B. возрастет на 25%;

C. останется без изменений.

7. Какой метод измерения производительности труда используется для обобщающей оценке динамики уровня ПТ для одного вида деятельности?

A. натуральный;

B. стоимостной;

C. трудовой.

8. Укажите правильное определение фактически отработанного времени (человеко-дней):

A. максимально возможный фонд времени минус неявки по прочим причинам;

B. табельный фонд времени минус очередные отпуска;

C. календарный фонд времени минус неявки по уважительным причинам;

9. Определите индекс среднемесячной ПТ, если индекс среднечасовой ПТ рабочих – 115%; индекс средней фактической продолжительности рабочего периода в днях – 107%, а индекс средней фактической продолжительности рабочего дня – 94%.

A. 115,7%;

B. 130,9%;

C. 114,3%.

10. Рассчитать показатель использования рабочего времени по числу дней работы одного работника по след. данным:

  • отработано за год 300,3 тыс. ч.-д.;
  • по плану предусмотрено к отработке – 350 тыс. ч.-д.;
  • неявки на работу фактически составили – 112 тыс. ч.-д.,

· а было запланировано 99 тыс. ч.-д. неявок

A. 106,5%;

B. 98,2%;

C. 93,5%.

·

· Тема 9. Статистика оплаты труда работников

Цель занятия: познакомиться с основными понятием оплаты труда, научиться рассчитывать средние показатели оплаты труда и структурные индексы затрат на оплату труда.

· Основные показатели

Оплата труда – это часть национального дохода, поступающая в личное пользование в соответствии с количеством и качеством затраченного труда.

НД = S ЧП = S (V+m).

Оплата труда – это регулярно получаемое вознаграждение за произведенную продукцию или оказанные услуги либо за отработанное время, включая оплату ежегодных отпусков, праздничных дней и другого неотработанного времени, которое оплачивается в соответствии с трудовым законодательством и коллективным трудовым договором.

В оплату труда входят выплаты из фонда заработной платы, премии, единовременные поощрения и другие выплаты.

Фонд оплаты труда – это все денежные средства (суммы), начисленные рабочим и служащим за выполненную работу, а также за неотработанное время, но оплачиваемое в соответствии с трудовым законодательством.

Существует 2 основные формы оплаты труда:

1. Повременная – начисляется на основе фактически отработанного времени и установленной тарифной ставки путем умножения часовой (дневной) тарифной ставки на фактически отработанное время в часах (в днях).

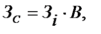
2. Сдельная – начисляется за количество произведенной продукции или выполненный объем работ путем умножения сдельной расценки за единицу продукции на количество произведенной продукции или выполненных работ:

где ЗС – сдельный заработок при прямой сдельной системе оплате труда;

В – выработка одного рабочего.

Сдельная расценка за единицу продукции определяется делением дневной тарифной ставки разряда работника на соответствующую норму выработки за день:

где Зti тарифная ставка, соответствующая разряду работника;

НВ – норма выработки за день.

Статистика всегда учитывает удельный вес сумм оплаты труда, выплаченной по разным системам в общем фонде оплаты труда.

Средние показатели оплаты труда (хi) определяются делением фонда оплаты труда на среднесписочную численность работников (или человеко-дней и человеко-часов фактических затраченного труда за календарный период — месяц, квартал, год). Расчеты ведут как в целом, так и по категориям и группам работников (i).


· Динамика средней оплаты труда

Индекс переменного составаработников показывает изменение средней оплаты труда под влиянием изменения средней оплаты труда по категориям работников и среднесписочной численности отдельных категорий работников:

где F0 и F1 – фонд оплаты труда отдельных категорий работников в базисном и отчетном периодах;

Т0 и Т1 среднесписочная численность отдельных категорий персонала в базисном и отчетном периодах;

х0 и х1 – средняя оплата труда по категориям работников в базисном и отчетном периодах.

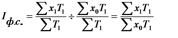
1. Индекс фиксированного составаработников показывает только изменение средней оплаты труда при постоянной численности работников по категории: .

2. Индекс структурных сдвигов показывает изменение средней оплаты труда под влиянием изменения удельного веса численности работников с различным уровнем оплаты труда в общей численности фонда оплаты труда:







Date: 2015-07-27; view: 908; Нарушение авторских прав



mydocx.ru - 2015-2026 year. (0.796 sec.) Все материалы представленные на сайте исключительно с целью ознакомления читателями и не преследуют коммерческих целей или нарушение авторских прав - Пожаловаться на публикацию