Главная Случайная страница


Полезное:

Как сделать разговор полезным и приятным Как сделать объемную звезду своими руками Как сделать то, что делать не хочется? Как сделать погремушку Как сделать так чтобы женщины сами знакомились с вами Как сделать идею коммерческой Как сделать хорошую растяжку ног? Как сделать наш разум здоровым? Как сделать, чтобы люди обманывали меньше Вопрос 4. Как сделать так, чтобы вас уважали и ценили? Как сделать лучше себе и другим людям Как сделать свидание интересным?


Категории:

АрхитектураАстрономияБиологияГеографияГеологияИнформатикаИскусствоИсторияКулинарияКультураМаркетингМатематикаМедицинаМенеджментОхрана трудаПравоПроизводствоПсихологияРелигияСоциологияСпортТехникаФизикаФилософияХимияЭкологияЭкономикаЭлектроника






Решение. В настоящее время основным показателем уровня производительности труда является производство товарной продукции в расчете на одного списочного работника ППП





В настоящее время основным показателем уровня производительности труда является производство товарной продукции в расчете на одного списочного работника ППП. При анализе уровня производительности труда и изучения факторов ее изменения в отдельных случаях дополнительно вычисляют:

· среднегодовую выработку на одного рабочего как отношение количества произведенной продукции за год к среднесписочному числу рабочих;

· среднедневную выработку на одного рабочего как отношение количества произведенной в отчетном периоде продукции к количеству отработанных за этот же период человеко-дней;

· среднечасовую выработку на одного рабочего как отношение количества произведенной продукции к количеству отработанных человеко-часов за тот же период времени.

Следует иметь в виду, что показатели объема продукции, средней выработки на одного работника промышленно-производственного персонала и средней списочной численности работников взаимосвязаны, поэтому можно установить относительную и абсолютную величину изменения объема продукции по сравнению с предыдущем годом или планом в целом, так и под влиянием отдельных факторов, используя следующую формулу взаимосвязи:

,

индекс индекс индекс

объема изменения изменения

продукции средней численности

выработки работников

где W1 и W0– средняя выработка продукции на одного списочного работника ППП соответственно в отчетном и базисном (плановом) периодах времени;

Т1 и Т0 - средняя списочная численность работников соответственно в отчетном и базисном (плановом) периодах времени.

Разность числителя и знаменателя каждой дроби выражает абсолютную величину изменения объема продукции. Если, например, речь идет об изменении товарной продукции (DТП), то это изменение определяется по формулам: общая величина изменения DТП = W1*T1 – W00, в том числе за счет изменения производительности труда DТПпт = (W1 – W0)T1, и за счет изменения среднесписочной численности работников ППП:

DТПТ = (Т1 - T0)W0 = (18.326.899 – 17.704.784)*829 = 51.573.333 руб.

Следует помнить, что взаимосвязанными относительными показателями использования трудовых ресурсов (рабочих) и рабочего времени являются:

· коэффициент использования числа дней работы на одного рабочего;

· коэффициент использования продолжительности рабочего дня;

· полный, или интегральный, коэффициент использования рабочего времени.

Каждый из этих показателей представляет собой отношение соответствующих средних величин отчетного и базисного либо планового периода. Используя исходные и полученные расчетные данные можно определить:

· среднее число дней работы на одного рабочего делением числа отработанных человеко-дней по плану или фактически на соответствующую среднюю списочную численность рабочих;

· среднее число часов работы на одного рабочего - делением общего числа отработанных человеко-часов на среднее списочное число рабочих или умножением числа дней работы одного списочного рабочего на полную среднюю продолжительность рабочего дня;

· полную среднюю продолжительность рабочего дня - делением числа фактически отработанных человеко-часов на число фактически отработанных человеко-дней. В этом случае делимое составляют человеко-часы, отработанные в урочное и сверхурочное время.

При определении средней урочной продолжительности рабочего дня из общего числа отработанных человеко-часов вычитаются человеко-часы сверхурочной работы.

При решении задачи следует обратить внимание на экономическое содержание полного, или интегрального, коэффициента использования рабочего времени и на возможность исчисления его двумя способами. Этот коэффициент характеризует относительное использование как трудовых ресурсов в отчетном периоде по числу дней работы на одного списочного рабочего, так и внутрисменного рабочего времени по продолжительности рабочего дня. Его можно получить двумя способами:

· умножением упомянутого выше коэффициента использования числа дней работы на одного рабочего на коэффициент использования продолжительности рабочего дня;

· делением фактического среднего числа часов работы одного рабочего на плановое число или на соответствующее число часов в предыдущем периоде.

Фактическое или плановое среднее число часов работы одного списочного рабочего устанавливают как частное от деления общего числа человеко-часов фактически или по плану на соответствующее среднее списочное число рабочих или же умножением фактического или планового среднего числа дней работы одного списочного рабочего на фактическую или плановую полную среднюю продолжительность рабочего дня.


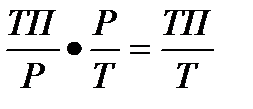
Для анализа взаимосвязи показателей средней выработки прибегнем к буквенным обозначениям:

· ТП – товарная продукция (здесь могут быть приняты в расчет и другие показатели, характеризующие объем продукции в натуральном и стоимостном выражении, а также показатели объема производства. Буквенное обозначение показателя в таком случае целесообразно изменить):

· Ч – число отработанных человеко-часов в изучаемом периоде (год, квартал, месяц);

· Д – число отработанных человеко-дней в том же периоде;

· Р – среднесписочная численность рабочих в периоде (год, квартал, месяц);

· Т – среднесписочная численность работников промышленно-производственного персонала в том же периоде.

Использование буквенных показателей облегчает восприятие схемы взаимосвязи показателей и ее практическое применение:

,

т.е. произведение средней часовой выработки (а) на среднюю продолжительность рабочего дня (в) равно средней дневной выработки.

,

т.е. произведение средней дневной выработки на среднее число дней работы на 1 рабочего (с) равно средней годовой (квартальной, месячной) выработки 1 рабочего. ,

т.е. произведение средней годовой (квартальной, месячной) выработки 1 рабочего и доли рабочих в общей численности ППП (d) равно среднегодовой (квартальной, месячной) выработки на 1 работника ППП (v).

При анализе взаимосвязи показателей средней выработки важно обратить внимание на среднюю годовую выработку на одного работника ППП (v) как обобщающий показатель производительности труда. Из схемы взаимосвязи видно, что этот показатель зависит от среднегодовой выработки на одного рабочего и доли рабочих (d) в общей численности ППП. Чем меньше эта доля, тем меньше уровень производительности труда в расчете на одного работника, так как в числе работников, помимо рабочих, есть и другие категории ППП.

Важно помнить, что среднегодовая выработка на одного работника (рабочего) существенно зависит от использования рабочего времени. Чем крупнее единицы измерения рабочего времени (день, месяц, квартал, год), принимаемые в расчет производительности труда, тем сильнее влияние этого фактора, так как рабочее время может использоваться по-разному в зависимости от наличия простоев, прогулов и других непроизводительных потерь.

Чтобы по имеющимся расчетным данным выявить влияние использования рабочего времени на изменение среднегодовой производительности труда в отчетном периоде по сравнению с планом, следует воспользоваться методом факторного анализа. Влияние факторов, обозначенных в схеме буквами а, в, с, d, на общее изменение среднегодовой выработки можно определить при помощи взаимосвязанных частных индексов методом цепных подстановок, поочередно принимая каждый фактор за переменную величину. Остальные факторы должны быть взяты на условно постоянном уровне.

Так, влияние фактора «а» вычисляется по формуле: .

Фактора «в» по формуле: .

Фактора «с» по формуле: .

Фактора «d» по формуле: , что означает коэффициент динамики данного фактора.

Общее изменение среднегодовой выработки ППП определяется по формуле: .

Абсолютное изменение под влиянием данного переменного фактора можно найти как разность числителя и знаменателя данной дроби, либо по следующей схеме:


Фактор Формула расчета

а (а1 – а0)* в1 * с1 * d1

в а0 * (в1 – в0) * с1 * d1

с а0* в0* (с1 – с0) * d1

da00 * с0 * (d1 – d0)

1.Определим среднюю списочную численность рабочих и всего ППП:

– численность рабочих: ,

– численность ППП = число рабочих / доля рабочих в общей численности ППП, ПППп = 746 / 0,87 = 857 чел. = Т0;

ПППф = 738 / 0,89 = 829 чел. = Т1.

2. Определим показатели уровня производительности труда:

– среднегодовая выработка на одного работника ППП:

,

По плану

По факту

– среднегодовая выработка на одного рабочего:

По плану

По факту ,

– среднедневная выработка на одного рабочего:

По плану

По факту ,

– среднечасовая выработка на одного рабочего:

По плану

По факту

3. Покажем общее изменение товарной продукции, а также ее изменение за счет изменения производительности труда и численности ППП по сравнению с плановым заданием: DТП = W1*T1 — W00,

DТП = (18.326.899*829) – (17.704.987*857) = 15.192.999.271 – 15.172.999.888 = 19.999.383 руб.;

DТПпт – изменение за счет производительности труда;

DТПпт = (W1 – W0 )*T1 = (18.326.899 – 17. 704.784)*829 = 515.733.335 руб.,

DТПт – изменение за счет изменения среднесписочной численности работников ППП;

DТПт = (T1 – Т0)* W0= (829 – 857)*17.704.784 = – 495.733.952 руб.

Общее изменение товарной продукции (DТП) составит под влиянием двух факторов: DТП= 515.733.335 – 495.733.952 = 19.999.383 руб.

4. Определим среднее число дней работы на одного рабочего:

отработано человеко-дней / среднесписочное число рабочих;

По плану

По факту .

5. Определим среднее число часов работы на одного рабочего:

отработано человеко-часов / среднесписочное число работников;

По плану

По факту .

6. Определим среднюю продолжительность рабочего дня (полную и урочную):

Полная продолжительность дня:

РД = отработано человеко-часов / отработано человеко-дней;

По плану

По факту .

Урочная продолжительность дня (за минусом сверхурочных часов):

7. Определим показатели использования рабочего времени:

a. коэффициент использования числа дней работы на одного рабочего:

b. коэффициент использования продолжительности рабочего дня:

c. коэффициент общего использования рабочего времени за счет обоих факторов – интегральный коэффициент использования рабочего времени:

11. Взаимосвязь всех показателей средней выработки:

По плану: 10.840,9*6,7 = 72.634,03*280 = 20.337.528,4*0,87 = 17.704.784 руб.

По факту: 11.328,8*6,6 = 74.770,08*275 = 20.586.720*0,89 = 18.326.899 руб.

12. Выявим внешнее использование рабочего времени на изменение среднегодовой производительности труда в отчетном периоде по сравнению с планом методом факторного анализа:

Фактор «а»:

.

Фактора «в»:


Фактора «с»:

Фактора «d»:

Общее изменение среднегодовой выработки ППП определяется по формуле:

Абсолютное изменение под влиянием данного переменного фактора можно найти как разность числителя и знаменателя данной дроби.







Date: 2015-07-27; view: 1334; Нарушение авторских прав



mydocx.ru - 2015-2026 year. (1.194 sec.) Все материалы представленные на сайте исключительно с целью ознакомления читателями и не преследуют коммерческих целей или нарушение авторских прав - Пожаловаться на публикацию