Главная Случайная страница


Полезное:

Как сделать разговор полезным и приятным Как сделать объемную звезду своими руками Как сделать то, что делать не хочется? Как сделать погремушку Как сделать так чтобы женщины сами знакомились с вами Как сделать идею коммерческой Как сделать хорошую растяжку ног? Как сделать наш разум здоровым? Как сделать, чтобы люди обманывали меньше Вопрос 4. Как сделать так, чтобы вас уважали и ценили? Как сделать лучше себе и другим людям Как сделать свидание интересным?


Категории:

АрхитектураАстрономияБиологияГеографияГеологияИнформатикаИскусствоИсторияКулинарияКультураМаркетингМатематикаМедицинаМенеджментОхрана трудаПравоПроизводствоПсихологияРелигияСоциологияСпортТехникаФизикаФилософияХимияЭкологияЭкономикаЭлектроника






Понятие оборотных средств





Оборотные средства – различные вещественные элементы производства, предметы труда, оборотный капитал, часть национального богатства страны.

Оборотные фонды целиком потребляются в каждом производственном цикле и полностью переносят свою стоимость на себестоимость готовой продукции.

Оборотные средства – сумма оборотных фондов (капитала в производстве) и фондов обращения (капитала в обращении).

К оборотным фондам относятся:

1. Производственные запасы материальных ресурсов на складах предприятия.

Ø сырье и основные материалы;

Ø вспомогательные материалы;

Ø животные на выращивании и откорме;

Ø покупные полуфабрикаты;

Ø тара и тарные материалы;

Ø топливо подразделяют на техническое (для технологических целей), двигательное (горючее) и хозяйственное (на отопление);

Ø запчасти для ремонтов и замены износившихся деталей машин и оборудования;

Ø малоценные и быстроизнашивающиеся предметы (МБП);

Ø возвратные отходы производства.

Все виды производственных запасов материальных ресурсов периодически пополняются, чтобы обеспечить непрерывный производственный процесс. Для этого используется наиболее общий метод расчета потребности в оборотных средствах, основанный на объеме реализованной продукции, определенном в бизнес-плане на предстоящий период и уровне коэффициента закрепления оборотного капитала за предшествующие периоды.

Из формулы расчета коэффициента закрепления следует: ,

где – средний остаток оборотных средств;

КЗ – планируемый коэффициент закрепления с учетом предшествующего;

РП – планируемый объем реализованной продукции.

По времени участия в производственном процессе они делятся на:

Ø текущие, т.е. ежедневные. Необходимая величина определяется с учетом общей потребности в них на определенный календарный период, условий поставки (периодичность, объемы каждой поставки) и календарного графика передачи материалов со склада в производство.

Для характеристики календарного графика передачи материалов со склада в производство используют коэффициент задержки материалов в запасе. Так, для массового (поточного) производства, для которого характерно равномерное во времени потребление материалов (равными долями в равные промежутки времени), коэффициент задержки будет равен 0,5, т.е. половине срока поставки. В серийном и единичном производстве передача материала обычно производится партиями с учетом графиков запуска в пр-во отдельных заказов.

Зная величины средней суточной потребности в материале (` МС), интервал поставок (ИП) и коэффициент задержки материалов в запасе, можно определить общую величину необходимого текущего запаса материала (ЗТЕК) по формуле: ,

где ` МС средняя суточная потребность в материале;

ИП интервал поставок в днях;

ЗТЕК величина необходимого текущего запаса материала.

Ø подготовительные – небольшие партии материальных ресурсов, принятые, разгруженные и сортированные, а также непосредственно подготовленные к участию в производственном процессе.

Величина запаса материалов, обеспечивающая их своевременную подготовку к запуску в пр-во, определяется по формуле: ,

где ЗПОД величина подготовительного запаса материалов;

ПП – время, необходимое для подготовки имеющегося в запасе материала к передаче в производство, а также время, необходимое на приемку, разгрузку и сортировку поступающих на склад материалов (в днях, сменах, неделях – в зависимости от режима работы).

Ø страховые (неснижаемые) запасы необходимы для устранения сбоев в производстве по причине недоставки или недопоставки материальных ресурсов поставщиками, невыполнения ими условий договора, отказа от сотрудничества или по другим форс-мажорным обстоятельствам.

Величину страхового запаса можно установить с помощью анализа данных об интервалах поставок за предшествующие периоды, определения вероятности каждой задержки и расчета средней величины задержки в днях. Рассчитывается по следующей формуле:

,

где ЗСТР величина страхового запаса;

` РЗ средняя вероятность задержки в днях.

Ø сезонные, это те запасы сырья, основных и вспомогательных материалов, топлива и горючего, которые в некоторых отраслях необходимы в большем объеме в период пика производства огромного количества продукции. В таких случаях величина сезонного запаса определяется по величине общей потребности на весь период с учетом равномерного использования запаса по времени.


2. Затраты в незавершенном производстве и полуфабрикатах собственного производства.

3. Расходы будущих.

К фондам обращения относятся:

1. Деньги от реализации готовой продукции (готовая продукция).

2. Товары, отгруженные.

3. Денежные средства на расчетном счете и в кассе предприятия.

4. Налог на добавленную стоимость по приобретенным ценностям.

5. Дебиторская задолженность.

6. Краткосрочные фин. вложения (депозиты, покупка ценные бумаги, займы другим организациям).

7. Прочие денежные средства.

 

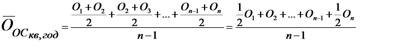
· 3.2. Расчет среднегодовой стоимости остатка ОС

Оборотные средства учитываются с помощью следующего показателя – стоимости остатков на конец и начало месяца. Оборотные активы учитываются во II разделе актива бухгалтерского баланса.

Так как стоимость остатков на начало и на конец каждого месяца приходится всегда на разную величину, то необходимо вести расчет среднего остатка оборотных фондов за месяц, квартал и год. Расчет средней месячной ведут по средней арифметической простой, а средней квартальной и средней годовой по средней хронологической.

где Оn – стоимость остатка ОС на начало каждого месяца,

средняя стоимость остатка ОС за квартал или год,

n – число исходных данных за каждый месяц.

· 3.3. Показатели использования ОС

1. Число оборотов ОС в год – получается путем деления объема реализованной продукции на среднегодовой остаток ОС; показывает сколько раз в течение года обернется среднегодовой остаток ОС:

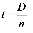
2. Продолжительность одного оборота в днях показывает, за какое время совершается один оборот ОС, получается путем деления числа дней в отчетном периоде на число оборотов:

где D – число дней в отчетном периоде (в году 365 дней).

3. Экономический эффект, полученный от ускорения оборачиваемости. Экономический эффект получается путем умножения среднесуточной реализации продукции на число дней, высвобожденных из оборота:

где t0 – число дней до снижения количества дней одного оборота ОС,

t1 – число дней после ускорения оборачиваемости ОС.

4. Коэффициент оборачиваемости оборотных средств (или материалоотдача) – получается так же как число оборотов – путем деления объема реализованной продукции на среднегодовой остаток оборотных средств (или стоимость материальных затрат – М): ,

А материалоотдача материальных средств рассчитывается по формуле:

5. Коэффициент закрепления оборотных средств (или материалоемкость) – самый основной показатель эффективности использования оборотных средств.

Коэффициент закрепления оборотных средств рассчитывается по формуле: .

Материалоемкость показывает, какими в среднем были материальные затраты в каждом рубле товарной (реализованной) продукции. Получается путем деления стоимости материальных затрат (М) на товарную (реализованную) продукцию в действующих оптовых ценах предприятия:

.

· Типовые задания







Date: 2015-07-27; view: 696; Нарушение авторских прав



mydocx.ru - 2015-2026 year. (1.509 sec.) Все материалы представленные на сайте исключительно с целью ознакомления читателями и не преследуют коммерческих целей или нарушение авторских прав - Пожаловаться на публикацию